Deze cache is één van de “Negen Monniken” serie geplaatst door 9 medewerkers van een Japans bedrijf.
This cache is one of the “nine monks” serie placed by 9 employees of a Japanese company.
De 9 monniken.
Omdat Kakiemon in Osaka arm was besloot hij zijn geluk in Edo te proberen. Daar kwam hij te werken voor een rijke marktkoopman. Op een dag moest Kakiemon voor een opdracht naar het huis van de marktkoopman, waar hij de beeldschone dochter van de marktkoopman ontmoette, Oranni. Oranni en Kakiemon werden verliefd, en Kakiemon besloot de rijke marktkoopman de hand van zijn dochter te vragen. Natuurlijk keurde de marktkoopman het huwelijk af, welke rijke man laat nou zijn dochter trouwen met een arme bediende? Toen Oranni het slechte nieuws hoorde werd ze ziek van verdriet, het werd zelfs zo erg dat ze bijna op sterven kwam te liggen. De marktkoopman zag toen in dat het enige wat hij kon doen om zijn dochter te redden was om haar te laten trouwen met Kakiemon, echter stelde hij wel 1 eis, Kakiemon moest haar een onderkomen bieden een rijke dochter waardig. Gelukkig wist Kakiemon nog een oud keizerlijk spookpaleis in Osaka, waar hij met toestemming van de keizer mocht wonen, als hij de spoken mocht verjagen. En zo gebeurde het dat Kakiemon en Oranni met elkaar trouwden en in het keizerlijke spookpaleis gingen wonen. Toen Oranni een nacht alleen in het paleis was, stonden er opeen 3 in het zwart geklede monniken voor haar bed. De monniken begonnen aan een lange houterige dans zonder dat ze een geluid maakten. Toen de zon opkwam liepen ze 1 voor 1 naar Oranni’s bed en met een griezelige blik in hun ogen legden ze hun vinger voor de mond en verdwenen in de paleismuur. Toen Kakiemon terug kwam vertelde Oranni hem niet wat er die nacht was gebeurd. De derde nacht was Oranni weer alleen in het paleis, in de verte kwamen er weer 3 lichtpuntjes uit de muur, echter ditmaal waren de monniken niet zwart gekleed, maar waren ze alle 3 in het wit. De monniken herhaalde weer het zelfde ritueel als de 3 zwart geklede monniken hadden gedaan, en weer verteld Oranni niets aan Kakiemon. De vijfde nacht was Oranni weer alleen in het kasteel en weer kreeg ze bezoek van 3 monniken, echter geen zwart of wit geklede, maar geel geklede monniken. Ook deze monniken herhaalde het zelfde ritueel als de wit en de zwart geklede monniken hadden gedaan. En weer vertelde Oranni niet aan Kakiemon. De zevende nacht kwamen alle 9 monniken te voorschijn, en een van de monniken vertelde Oranni dat ze de voorvader van de keizer tijdens een oorlog was omgekomen, maar in dit kasteel zijn schatten had verstopt. De 3 zwart geklede monniken leidde Oranni naar de tuin en verdwenen onder een oude Sakura-kersenboom. De 3 wit geklede monniken bogen diep over de drempel van het paleis en verdwenen ook. De 3 geel geklede monniken brachten haar naar het gewelf van het paleis en verdwenen daar in de nevel. De volgende ochtend vertelde Oranni alles aan Kakiemon en samen vertelde ze het aan de huidige keizer, welke de schatten op liet graven. Onder de kersenboom lagen kruiken met koperen munten, onder de drempel zakken vol met zilver en in het gewelf lagen vaten vol met goud. De vorst beloonde Kakiemon en Oranni rijkelijk. En natuurlijk leefden ze nog lang en gelukkig in het paleis - waar het natuurlijk niet meer spookte
klik hier voor het completeverhaal
The 9 monks.
Kakiemon was so poor that he decided to try his luck in the big city of Edo. Here he found employment by a rich tradesman. One day while visiting the tradesman’s home, Kakiemon met the tradesman beautiful daughter - Oranni. Kakiemon and Oranni fell madly in love! Kakiemon asked the tradesman for permission to marry Oranni. Of course, the tradesman was not happy to have his daughter marry such a poor servant and refused to approve of the marriage. When Oranni heard the sad news, she was so desperate that she fell gravely ill. The tradesman could not bear to see his daughter in such a sad state. Eventually he agreed to give permission for the marriage on one condition. Kakiemon must present Oranni a home worthy of her position as the daughter of a rich tradesman. Luckily Kakiemon knew that the emperor owned an uninhabited haunted palace in Osaka. The emperor agreed to let the couple live in the palace on one condition: Kakiemon must drive all the ghosts out of the palace. The marriage took place and the happy couple moved into the emperor’s haunted palace. The first night that Oranni was alone in the palace, she was suddenly startled when 3 monks wearing black robes appeared at the foot of her bed. The monks performed a silent dance all night long. At dawn they walked one at a time towards her bed and with an eerie stare they made a motion that she must remain silent as they disappeared through the palace wall. When Kakiemon returned to the palace, Oranni decided not to tell him what she had witnessed. The third night Oranni was again alone in the palace. In the distance she saw 3 spots of light appear though the wall. This time the monks were wearing white robes instead of black ones. The monks repeated the same ritual that the three black-robed monks had performed. Again Oranni did not tell Kakiemon what she had witnessed. On the fifth night Oranni was alone in the palace and was again visited by 3 monks. This time the monks wore yellow robes. The monks repeated the same ritual and again Oranni said nothing to Kakiemon. On the seventh night all 9 monks appeared. One of the monks told Oranni that he was an ancestor of the emperor and that he had died at the time of the Great War. He also said that at the time of his death his treasures had been buried in the palace. The 3 black-robed monks led Oranni to the garden and then disappeared under an old cherry tree. The 3 white-robed monks kneeled at the palace threshold before disappearing. The 3 yellow-robed monks brought Oranni to one of the palace arches before disappearing in the mist. The next morning Oranni decided it was time to tell Kakiemon what she had experienced. Together they decided to inform the emperor. The emperor ordered his servants to excavate where the monks had last been seen. He was pleasantly surprised when the lost ancestral treasures were discovered! Under the cherry tree they found stone jars filled with copper coins. Under the threshold there were bags of silver. And under the arch there were kegs filled with gold. Kakiemon and Oranni were richly rewarded by the emperor. They continued to live happily in the palace – which, of course, was no longer haunted.
click here for the complete story (in dutch)
Cache location.
Cache locatie.
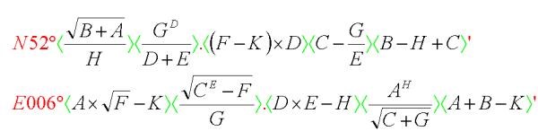
Solve these sums:
Los deze sommen op:
The hint for Cache 3 G=4, Cache 7 K=8, Cache 8 D=2 and for Cache 9 B=6.
De hint voor Cache 3 G=4, Cache 7 K=8, cache 8 D=2 en voor Cache 9 B=6.

click on the sum to see it in a larger size
klik op de som om hem in een groter formaat te zien
good luck
veel succes

Je kunt de antwoorden van de puzzel controleren op Geochecker.com.