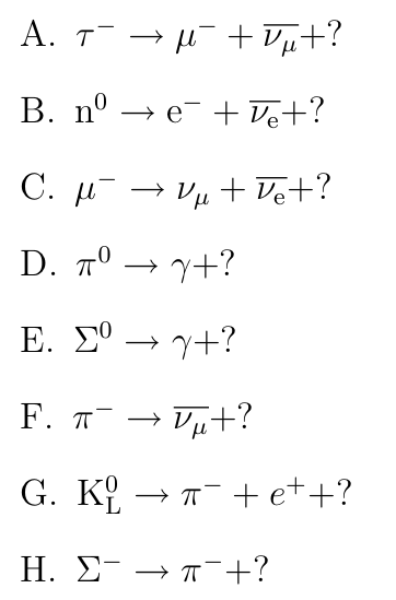
To find this cache, it's time to brush up on your mad physics
skillz as we study some particle decays!
The cache is at N AB°CD.EFC W BBG°CB.HCB.
To convert this into something your GPS will actually recognize,
find the missing particles
(leptons,
baryons, mesons, or bosons) in the following particle decays.
All of these decays obey the
laws of
conservation of charge, momentum, energy, lepton number, and baryon
number.

For each letter in the coordinates above, use the corresponding
number (below) to the particle that is missing from each decay.

So, if you determine that the particle needed for decay A is an
electron, e-, use the number 0 everywhere A appears in
the coordinates (hint: that's not right, it's just an example).
Original cache contents include some simple toys from my
favorite physics problems. There are bouncy balls (for conservation
of energy); marbles (for conservation of momentum); spinning tops
(for conservation of angular momentum); and some dice - because,
despite
Einstein's
misgivings, God indeed does play dice with the universe
(also, they come in handy for that nasty statistical mechanics
homework!).
First to find prize is
Schrödinger's
Cat. Is it alive? Is it dead? Only the first to open the cache
and observe the state of the cat will know!
You can check your answers for this puzzle on
Geochecker.com.