
SLO:
Zaklada ni na objavljenih koordinatah - navodila so malo nižje.

Majhna cerkvica Sv. Lamberta, zavetnika Ortenburžanov, stoji na gozdni jasi v zgornjem delu naselja Lancovo in je lep primer srednjeveške podružnice.

Nekdaj naj bi služila kot kapela suličarjev s Pustega gradu. Ohranjen je gotski mrežasto obokan prezbiterij, zgrajen v drugem desetletju 16. stoletja. V ta čas spadajo tudi deloma ohranjene freske.

Izvrstno sta ohranjeni freski sv. Helene in sv. Uršule ob gotskem oknu za glavnim oltarjem.
V 17. in 18. stoletju je bila cerkev prezidana, tako da je ladja povsem baročna. Iz tega časa sta tudi stranska oltarja sv. Katarine in sv. Antona Puščavnika. Glavni oltar iz leta 1899 je novogotski, naredil ga je radovljiški podobar in kamnosek Janez Vurnik ml.

V oltarni niši je kip sv. Lamberta, ob straneh pa kipa sv. Janeza Evangelista in sv. Andreja.
Zvonik je bil na severni strani zgrajen v 18. stoletju. Kakovosten je tudi glavni portal iz peračiškega tufa, ki je nastal v 17. stoletju.

Cerkev sv. Lamberta na Lancovem je danes podružnična cerkev radovljiške župnije. Notranjost je zaklenjena. Če boste imeli srečo, vam jo bo z veseljem odklenil in razkazal gospod iz sosednje hiše.
(Vir: TIC Radovljica)

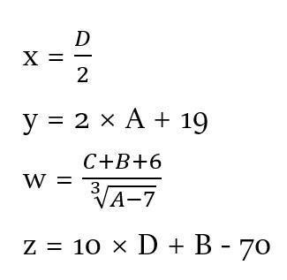
Da bi ugotovili koordinate zaklada, morate malo šteti:
A: število vseh lat na vhodni ograji (tudi manjkajoče)

B: število stopnic v stolp (zunanje in notranje)

C: število vseh nizkih stebričkov

D: število naslikanih kvadrov na zvoniku (ena kolona)

___________________________________________________
Zaklad je na koordinatah:
N 46° x.y E 014° w.z
___________________________________________________

Pod drevesi imate lahko s signalom nekaj težav...
ENG:
The cache is not hidden on the published coordinates - see instructions below.

The small church of St. Lambert, the patron saint of the Ortenburgs, stands in a forest clearing in the upper part of the village of Lancovo and serves as a stunning example of a medieval succursal church. From Radovljica you can see the church standing in the middle of the green slopes on the right bank of the Sava river.

It is thought that the church once served as the chapel of the spearmen from Lipnica Castle. It has a preserved Gothic vaulted presbytery which was constructed during the second decade of the 16th century.

The partially preserved frescoes are from the same period. The frescoes of St. Helen and St. Ursula, which are located next to the Gothic window behind the main altar, have been particularly well preserved.

The church was remodeled in the 17th and 18th centuries and the nave is entirely Baroque. The high-quality entrance portal, made from Peračica tuff, dates back to the 17th century.

(Source: TIC Radovljica)
To find out the coordinates, you will have to count a little:
A: number of all laths in the entrance fence (including missing)

B: number of stairs into the belfry (outer and inner)

C: number of all fence columns

D: number of painted dark rectangles on the belfry tower (one corner only)

___________________________________________________
The cache is at the coordinates:
N 46° x.y E 014° w.z
___________________________________________________

As usual under the trees, the signal is not perfect...
