I attended AUM for about 8 years (Received a Bachelor's and a Master's while there). The bogus coordinates are AUM's Baptist Campus Ministries where I gave my life to Christ. It was an amazing time, but I had some pretty difficult classes! To find this cache, you will be tested on economics, calculus, imaginary numbers, number theory, and basic math. Good luck!
A =>
The price of a widget changes from $100 to $80. The quantity demanded @ $100 is 100. The quantity demanded @ $80 is 140. What is the price elasticity of demand for the widget?
B =>
2i^4 = X :: Solve for X
C =>

:: What is the slope of this line?
D =>
How many degrees is an angle of:

E => What is the greatest common factor for 152, 72, 56, and 24?
F => Which real number is the reciprocal of itself?
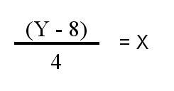
G =>

:: Solve for B
H => What is the slope of x^3 - 6x +13 where x = 2?
I => What is the highest single-digit number in the decimal system?
J => 2.2/(99/45)=X :: Solve for X
You can check your answers for this puzzle on Geochecker.com.