Skip to content

Ashallond's Geocaching Academy - Senior Level Mystery Cache

This cache has been archived.

Ashallond: No one else is running the Academy and two of the previous ones are out of date. Closing the school permanently.

More
Hidden : 5/7/2012
Difficulty:
5 out of 5
Terrain:
1.5 out of 5

Size: Size:   micro (micro)

Join now to view geocache location details. It's free!

Watch

How Geocaching Works

Please note Use of geocaching.com services is subject to the terms and conditions in our disclaimer.

Geocache Description:

Welcome back to Ashallond's Geocaching Academy. This is month 4 of the academy. Over 5 months we will see if you can graduate from the academy. You are encouraged to start with the Freshman Level Course (GC3A867) before you tackle this one. We don't want you skipping grades now, do we?

The Sophomore Level Course (GC3D44F) can be found here.

The Junior Level Course (GC3FVCW) can be found here.

If you complete all 4 levels, then you'll be eligible to graduate! Graduation will be held at an event in June. A special graduation challenge cache will be created after the actual event for anyone who wants to complete the series with a bonus cache. Date of the event is still to be determined.





Well, all your paths, all your trails, your challenges, your knowledge leads to this cache. Hope you kept your notes from previous courses. This cache is marked at the infamous blue sculpture at Southside High School. Known as the Blue Thing, or the Dixie Sticks, it was put in when some exterior renovations were done. Students keep suggesting that they paint them red and donate them to Northside. Northside keeps saying no for some reason...


So, pull out your notes from the whole course and.... Whoops....Did I fail to mention that? *evil grin*


To solve this cache we will do a technique called 'Trilateration' This is when I tell you how far you have to go from three different known points. How this works is that you draw circles around the point with that distance radius, and if the math is perfect, then you get a point where all three circles intersect. Or you can use an app or a webpage...your choice.

To find Senior Level, you have to know the CORRECTED coordinates from Freshman, Sophomore, and Junior Level Academy. Those will be the three points you know.

From Freshman Level Academy, travel A0B72.7 ft
From Sophomore Level Academy, travel 1CD44.2 ft
From Junior Level Academy, travel 1E5F6 ft


How do we find A-F? Let's look at your Senior Level Courses. Literature, Calculus, Physics, Astronomy, World History, and ....Mongolian Playwrights?!? What? *goes and looks them up...* hmm, there are a few ok....you are a strange strange person wanting that course.



Literature: Let's start this last year off well, ok? We're going to look at the best of the best books, books that have won a Pulitzer Prize. It's a pretty long process to get nominated and then reviewed, and then re-nominated to the final committee. if the majority agrees that a certain book is the winner, then it gets the prize. They can however, vote to give no award if no book or other work meets the standards of the award. To find A, Find how many years that the committee has voted to give 'No award' in the Fiction category, and subtract 5.

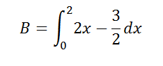
Calculus: Simple. The solution to this integral is B. What, you didn't take Calculus in high school? Better get a tutor.


Physics: Quantum Mechanics. I took a class on that once in grad school. Had a professor from Poland. Spent half the first class learning how to properly say his full name with proper accents and everything. It's been 16 years since then, and I STILL remember his bloody name.

Anyway, So quantum mechanics is this neat....huh? You don't want to talk about those? But come on man, the CAT...we can talk about the cat, is it alive or dead and....*sigh* FINE. I'm docking your grade...no challenge from students these days.

A Scottish physicist came up with equations that describe electromagnetism. How many equations did he come up with? That number is C.

Astronomy: Space. The Final Frontier. These are the voyag-...oh yeah, astronomy. Sorry, I'm a bit ADD today. Anyway, there's this constellation. The Norse thought they were hens. The Celtics associated it with funerals and mourning. The Blackfoot tell of a band of orphans abandoned by the tribe and they became stars. In China, it is the head of a tiger. But the name we are most familiar comes from a myth that tells of a group of sisters or maidens. The number of maidens (or hens or orphans!) is D.

World History: We go back in time to ancient Persia. In or before the 6th century BC a native religion was founded. The main prophet of this religion lent his name to a song that became known as the 2001 theme. Anyway, this religion (which has nothing to do with masked avengers) has a creater deity with a two word name. Each of these words has the same number of letters. That number is E.

Mongolian Playwrights: ..........ok, Seriously? Have you lost your mind? Yes. Yes I have.

MUHAHAHAHAHAHAHAHAHAHAHAHAHAHAHAHAHA. This is a 5 star cache you know.

One of the most famous Mongolian playwright (maybe the ONLY Mongolian Playwright?) wrote a poem called 'My native land.' His name has bunch of letters in it. 21 in fact. a double i in one place. The number of e's in his name is F.

And there we go. Class is now finished, and now you have to pass your final test. Sign the log and you'll get your diploma.


You can validate your puzzle solution with certitude.

Additional Hints (Decrypt)

Znal tbbq gnetrgf, nffhzvat lbh ner npphengr. Orpnhfr zl pbbeqf ner EVTUG va gur zvqqyr bs gurz nyy. N erq fragvary jngpurf lbh sebz npebff gur fgerrg. Jngpu sbe Zhttyrf.

Decryption Key

A|B|C|D|E|F|G|H|I|J|K|L|M
-------------------------
N|O|P|Q|R|S|T|U|V|W|X|Y|Z

(letter above equals below, and vice versa)