Welcome to Zombieland II!
"Revenge of the Professors"

I go to school and work at the University of Utah and am majoring in Computer Science. If you have found my original Zombieland cache, you know how much of a zombie I become as the semester progresses. However, I noticed that this past semester was extra tough. I seriously think the professors are the zombies and they have been feeding on my brain - turning it to mush! Mean 'ole zombie computer science profs!
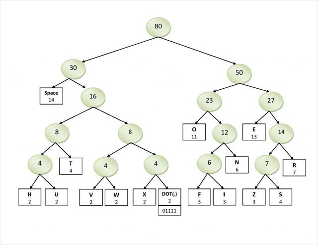
Professor Huffman has turned my brain to mush. Therefore, the cache coordinates have been scrambled. Help me (and yourself) by solving the puzzle below.
1011 100 1111 0101 01000 00 10100 100 01001 1111
00 11100 110 1111 100 00 10100 100 01001 1111
00 11101 10101 01110 01111 11101 110 01100 110 1011
00 11101 10101 01110 00 11100 110 1111 100 00
01101 110 11101 0101 00 100 1011 110 00 100
1011 110 00 100 1011 110 00 10100 10101 01100
110 00 100 1011 110 01111 0101 01101 100 00
11100 110 1111 100 00 0101 01000 1111 110 110

Click on the puzzle for a printable version. Then enter Ctrl+p to print.
You can check your answers for this puzzle on GeoChecker.com.
I'm offering the FTF a brand new, unactivated, trackable, very cool, Zombie Hunting Permit Geocoin! So good luck and happy hunting!
5/23/2013***A big CONGRATULATIONS goes out to Club33NOS for snagging the FTF!***
***Original Cache Contents***
- Log Book & Pen
- Various toys
- The FTF Coin (don't forget to snag it if you are the FTF!)
Note: The SWAG & log book are contained in a plastic sandwich bag. Please do not take the zombies that are glued down - they are part of the cache and they will eat your brain if you attempt to remove them!
For the record, we may be great friends after you find my cache, but if zombies are chasing us, I'm tripping you. Seriously, I will. Thanks and have fun!