Skip to content

Formelsammlung Mystery Cache

This cache has been archived.

GerandKat: Hey ho bube96...

Da hier seit geraumer Zeit kein Geocache mehr zu finden ist, werden wir diesen Geocache jetzt endgültig archivieren.
Damit ist der Cache nicht mehr in der Liste der zu findenden Geocaches ausgewiesen und blockiert keine neuen Caches in dieser Gegend.

Wenn du an dieser Stelle wieder einen Cache platzieren möchtest, kannst du selbstverständlich gern ein neues Listing zum Review einreichen.

Liebe Grüße
GerandKat
Katrin und Gerwin
Volunteer Reviewer bei Geocaching.com

Regionale Besonderheiten findet ihr in unserem Wiki
Tipps & Tricks gibt es auf den Info-Seiten der deutschsprachigen Reviewer: http://www.gc-reviewer.de/

More
Hidden : 3/28/2015
Difficulty:
4 out of 5
Terrain:
3.5 out of 5

Size: Size:   small (small)

Join now to view geocache location details. It's free!

Watch

How Geocaching Works

Please note Use of geocaching.com services is subject to the terms and conditions in our disclaimer.

Geocache Description:

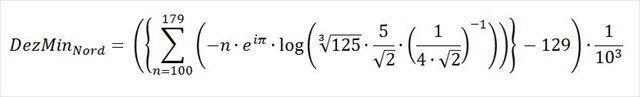
Wer liebt sie nicht, die schönen Formeln der Mathematik? Hier geht es darum Euch durch ein paar simple, kleine Formeln zu rechnen und schon habt Ihr die KOs


Des Rätsels Lösung ist eigentlich total trivial:

Diese nette, handliche Formel liefert Euch die Nord-Dezimalminuten:



Für den Osten nimm einfach die Koordinate der K55. und ziehe X davon ab ;-)

Wenn Du wissen willst, ob Du eine 1 für diese Aufgabe verdient hast, frag' hier Deinen Mathepauker.

Der Finalbaum sieht aus, als hätte er schon etliche Falten beim Brüten über den Formeln bekommen.

Das Final ist nicht direkt mit dem Auto erreichbar. Mit dem Fahrrad oder zu Fuß kommt man aber direkt bis vor den Baum.

Unnötig zu erwähnen, dass die Listing KOs keine Bedeutung haben, außer dass dort für viele der Kampf mit den Formeln in der Schule beginnt.

Additional Hints (No hints available.)