Skip to content

Die Uhr ohne Zeiger Mystery Cache

This cache has been archived.

Zeachenkaas: Der Cache wandert ins Archiv.

More
Hidden : 8/28/2015
Difficulty:
2.5 out of 5
Terrain:
5 out of 5

Size: Size:   micro (micro)

Join now to view geocache location details. It's free!

Watch

How Geocaching Works

Please note Use of geocaching.com services is subject to the terms and conditions in our disclaimer.

Geocache Description:


Für den gesuchten Behälter brauchst du: Steighilfe sowie Magnetstab

Es gibt 2 Methoden, hier erfolgreich zu sein:

1. Du löst vor Ort (an den Kopfkoordinaten) nachfolgende Aufgabe und kommst gemütlich zum Hinweis oder

2. du suchst dort einfach den Hinweis im Radius von etwa 4 Metern auf gut Glück.

 

Aufgabe:

Scharfe Augen können hier eventuell von Vorteil sein.

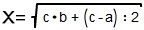
Dreh- und Angelpunkt ist hier ein Eisenkreuz.


A=Zahl der ellipsenförmigen Einbuchtungen

b=Zahl der runden Beschläge

c=Zahl der eingeritzten Striche

X=√ c*b + (c-a)/2 

Am Strahlenende der ermittelten Stunde des Tages (=X) befindet sich ein Hinweis, der dich sicher ans Ziel führen wird.

 

Herzlichen Dank an AlbMon für´s Mithelfen!

 

 

Additional Hints (Decrypt)

Qnf Xerhm vfg rknxg va Abeq-Füq-Evpughat nhftrevpugrg!

Decryption Key

A|B|C|D|E|F|G|H|I|J|K|L|M
-------------------------
N|O|P|Q|R|S|T|U|V|W|X|Y|Z

(letter above equals below, and vice versa)