Solve the (?) and Balance the following (Hint provided):
Q1). Essential compound for Life
Al2(SO4)3.18H2O + Ca(HCO3)2 = CaSO4 + Al(OH)3(s) + CO2 + (?)
Q2). If I was a leaf, I'd be producing Energy
CO2 + H2O = (?) + O2
Q3). What's that pungent smell...
NH4+ = (?) + H+
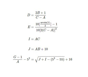
From above Equations obtain the sum of co-efficient for each question.
C = Q1
B = Q2-5
A = Q3
Solve the following equations:

If an object flew away from Earth at the speed of light (3*10^8 m/s) to about 4170km away, how long did I travel for ? (T1)
Now if the same object flew back down (same distance), only the velocity is changed to 50.04*10^6 m/s, how long did it take me to back to earth?
S [C+D+E] E [G+T1+T2]
