In 1905 Einstein proposed the Special Theory of Relativity. The theory followed from Maxwell’s discovery that light was an electromagnetic wave, and that all electromagnetic waves propagate at a fixed speed – c, the speed of light with value c = 299,792,458 m/s in a vacuum.
The effects of Special Relativity are not seen until objects move at speeds much faster than we normally see on Earth. One situation where Special Relativity is seen is in the Global Positioning System (GPS) used by Geocachers.
Initially the GPS consisted of 24 satellites which contrary to common belief are not in geosynchronous orbits but are spread across six orbital planes. The orbits are carefully synchronised so that there are at least four satellites that are visible from any place on the Earth’s surface. In 2011 three additional satellites were added and six were repositioned to improve performance. The satellites orbit at a speed of approximately 14,000 km/h 20,200 km above the Earth. At this speed the effects of Special Relativity must be taken into account or the time of the clocks on the satellites would drift from those on Earth by about 7 micro-seconds per day - enough to make it unusable. There are also gravitational relativistic effects that need to be taken into account to keep the clocks synchronised but they are beyond the scope of this cache.
To determine the location of this cache you will need to solve two problems which illustrate the effects of Special Relativity – Time Dilation and Space Contraction.
The section below is a brief introduction to Special Relativity including derivation of the formulas needed for the problems. You do not need to read it to solve the problems, but you may find it useful, especially when trying to determine the reference frames.
Special Relativity
The Theory of Special Relativity has two postulates:
- the laws of nature are the same in all inertial reference frames (i.e. at constant velocity)
- the speed of light is the same in all inertial reference frames.
Although these appear straight forward, there are unexpected consequences when one considers what two different observers see when one is stationery and the other is moving. The effects can be illustrated using a thought experiment devised by Einstein.
We imagine a train carriage where there is a light source on the floor that can emit a light pulse, a mirror on the ceiling distance d metres above, and a detector on the floor beside the light source.
Reference Frame 1 – an Observer inside the Carriage
In Reference Frame 1 the observer is inside the carriage. She has no idea of whether the carriage is moving or not – nor does it matter as the reference frame is the inside of the carriage.

.
When a light pulse is emitted by the bulb, the observer sees the light pulse travel at speed c to the mirror above, be reflected by the mirror, and then travel back to the detector. The detector can measure the time interval which is equivalent to:

.
The distance is 2 x d (i.e. up and back down), and the speed is the speed of light c. In the equations below the subscript of denotes the Observer – i.e. t1 is the time as seen by Observer 1. For the more general case, as in the problems below, the speed in Equation 1 is the speed of the moving object – a space ship with speed expressed as a percentage of c in the problems below.
Reference Frame 2 – an External Observer
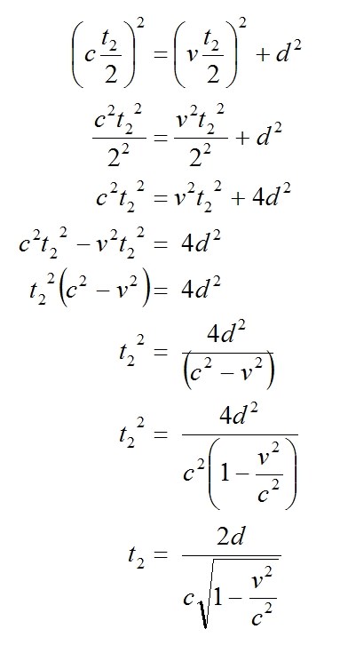
Consider exactly the same configuration where the carriage was part of a train and seen by an external observer standing on a platform. The carriage passes at constant speed v but the path of the light seen by Observer 2 is now not vertical but forms two sides of a triangle because of the forward motion of the train:

.
The time, t2, that it takes for the pulse of light to travel from the source to the mirror and back to the detector as seen by Observer 2 and can be calculated using the Theorem of Pythagoras, the speed of light c, and the speed of the train v:

.
And earlier we defined t1 = 2d/c so we can write:

.
This formula allows us to calculate the dilation of time between the two observers when one is stationary and the other is moving. Equation 2 can be summarised as “the tick of a clock is longer in a moving reference frame than it is in one that is stationary”.
Another effect of Special Relativity is that moving objects contract in size in the direction that they are moving – e.g. the length of a car is fractionally shorter when it is moving than measured when it when it is stationary. Again, the effects of space contraction only become observable at speeds near the speed of light. Knowing that distance = speed x time and using the derivation above it can be shown above that:

.
where L1 is length of an object when it is stationary and L2 is the length of the object when it is moving at speed v as seen by a stationary observer. Equation 3 can be summarised as “the length of an object as seen by a stationary observer is shorter when it is moving than when it is stationary”.
Problems
Only Equations 1, 2 and 3 (bracketed above) are needed to solve these problems, and they can be solved in several different ways. The key is to ensure that the correct time or distance is associated with the correct reference frame.
Problem 1 – Time Dilation
One of a set of geocaching twins has won a trip to GeoMega-Event on a distant exoplanet but is unsure if she wants to take the trip. The twins know that because of Special Relativity that the twin which stays on Earth will age faster than the one travelling. They want to know what will be the difference between their ages when the travelling twin gets back to Earth. They know that they can estimate the result by simplifying the trip as simply the trip from Earth to the exoplanet and back again at constant velocity. The space ship will travel at 75% of the Speed of Light and that the exoplanet is 16.655 light years away. They know that they do not need to worry about the time spent geocaching because time dilation only occurs whilst the space ship is in motion. The answer should be rounded to three decimal places in the form ab.cde.
Problem 2 – Space Contraction
As part of construction of a deep space Geocaching Headquarters, a shuttle needs to tow a beam that is 100m long from Earth to the construction site. The shuttle will travel at 88.359% of the speed of light. How long would the beam look to a stationary observer in space as the beam passes at this speed? The answer should be rounded to three decimal places in the form fg.hij.
The Cache
The cache is a 200ml Sistema container with log, pencil and something appropriate for the FTF. It is located at S 41° ab.cde’ E 174° fg.hij’ where ab.cde and fg.hij are the answers to the two problems.
Check your solution which Geo-Check:
