Geocachen befinner seg ikke på de oppgitte koordinatene.
The cache is not on the stated coordinates.
Løs dette for å finne den.
Solve this to find it.
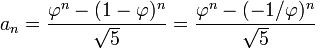
N: F10+F4+F2 F7+F2.F15+F13+F9+F4
E: F6+F3 F10+F4.F12+F9+F7+F3
Dette kan være til hjelp.
This may be helpful.
