Skip to content

Wie zoekt die .. #5 Mystery Cache

This cache has been archived.

Loud N Proud: Deze reeks heeft zijn beste tijd gehad. De meeste chases zijn al 5 maanden niet meer bezocht.

Ik wil alle mensen bedanken voor de hulp en leuke logjes, maar geef nu andere cachers de kans om in deze regio leuke nieuwe caches te verstoppen.

Er zijn nog een hoop ideeën om in de toekomst een vergelijkbare reeks te maken in deze mooie omgeving.

Wie weet tot dan.

Twan
(Loud N Proud)

More
Hidden : 3/8/2016
Difficulty:
5 out of 5
Terrain:
1.5 out of 5

Size: Size:   micro (micro)

Join now to view geocache location details. It's free!

Watch

How Geocaching Works

Please note Use of geocaching.com services is subject to the terms and conditions in our disclaimer.

Geocache Description:


**********************Op bovenstaand coördinaat ligt de cache niet **********************

Wie zoekt die..

De serie ‘’Wie zoekt die..’’ bestaat voornamelijk uit logica, wiskundige en natuurkundige puzzels. De mysteries verschillen in moeilijkheidsgraad van 1 ster tot en met 5 sterren.
De eind coördinaten vormen geen ‘logisch rondje’, hij is wel deels te voet te doen maar bereid je dan maar voor op een flinke wandeling. De locaties zijn om verschillende redenen gekozen: mooi uitzicht, moeilijke verstop plek en hier en daar nog een kleine veldpuzzel.
De mysterys beschikken over een checker die enkel ‘groen licht’ geeft bij de exacte oplossing.

Sommige caches liggen enkele meters van een pad vandaan, in de zomermaanden kunnen brandnetels/dorens en het hoge gras het terrein dus met 1a2 sterren doen stijgen, bij #7,8 en 10 hier zeker rekening mee houden.

Verder wil ik iedereen vragen om voorzichtig met de caches om te gaan en dat iedereen de natuur met respect behandeld.

 

Het is mijn 5e mystery dus tijd voor 5 sterren !

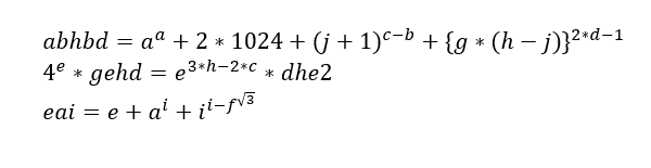
Los onderstaand 'stelsel' op.



Let op!!! abc wilt niet zeggen a*b*c maar abc stelt een getal van 3 cijfers voor, verder zijn ALLE waardes van de letters verschillend. (a is niet gelijk aan b is niet gelijk aan c .... is niet gelijk aan j)
N=(g+3)(1)° (b-2*g)(d).(h-j)(c)(0)
E=(h-h)(e-e)(j)° (d-d)(i-f).(h)(g)(e)

Additional Hints (Decrypt)

>1z #zG (zvyvGrfyn)

Decryption Key

A|B|C|D|E|F|G|H|I|J|K|L|M
-------------------------
N|O|P|Q|R|S|T|U|V|W|X|Y|Z

(letter above equals below, and vice versa)