A local school teacher was arrested today at Rotorua's International airport, attempting to board an Air New Zealand flight, while in possession of a ruler, a protractor, a compass, a slide-rule and a calculator. At a press conference, the airport security chief said "What a nutcase, trying to squirrel away these TOTT in a clear contravention of Aviation, as well as Health and Safety regulations".
The Police did not identify the teacher, who has since been charged with carrying weapons of maths instruction, but said that "This is a major coup for us and we believe the suspect is a member of the notorious extremist Al-Gebra movement". "Al-Gebra is a problem for us" the police continued, "they derive solutions by means and extremes - and sometimes go off on tangents in search of absolute values. They use secret code names like 'X' and 'Y' and refer to themselves as 'unknowns', but we have determined that they belong to a common denominator on the axis of geocaching with coordinates in most every country".
When asked to comment on the arrest, the Mayor said, "If muggles were intended to have better weapons of maths instruction, we would have evolved more fingers and toes" and "As the Greek philosopher Isosceles used to say, 'There are three sides to every triangle' ".
As the teacher was being transferred from the airport holding cell to a Police car, he shouted

*** Cache cannot hold anything apart from the included log sheet. ***
Please bring a pen for the Waterproof paper log.
*** Cache is attached to a magnetic pad. Ensure it fits exactly when replaced. Thank you. ***

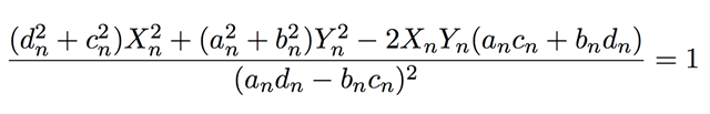
You can validate your puzzle solution with certitude.
Congratulations to kiwicouple for a well deserved FTF after being FTS!



I don't have any idea what this means!


