Skip to content

Les neles Mystery Cache

Hidden : 7/21/2016
Difficulty:
3.5 out of 5
Terrain:
4.5 out of 5

Size: Size:   small (small)

Join now to view geocache location details. It's free!

Watch

How Geocaching Works

Please note Use of geocaching.com services is subject to the terms and conditions in our disclaimer.

Geocache Description:

Keš je v lese na stromě dost vysoko. Nesnášíš-li výšky, nepokoušej se o ni.

Zadání


Najdi takový prvek n, že 7-8-7-n-7-16 je nesmysl.

Zkouška správnosti: 10-n-19-n-16 je správně.

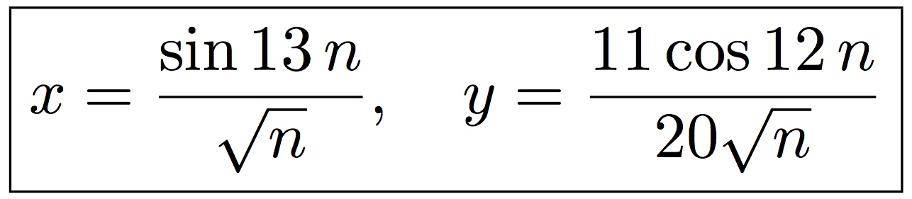
Souřadnice


Máš-li n, vypočti

Goniometrické funkce počítej ve stupních. Pak vezmi úvodní souřadnice. K minutám zeměpisné délky přičti x. K minutám zeměpisné šířky přičti y. Na tom místě najdeš strom, který má ořezané spodní větve. Na ten lez.

Maximální opatrnost při vyzvedávání! A nevysyp to na zem.


Dodáno 1. ledna 2017.

Nápověda


Hlavně čti pozorně zadání. Správné n poznáš nejen podle toho, že vyjde zkouška, ale možná se budeš i divit, kde všude byla nápověda.


Získání souřadnic finálky od jiného geocachera je nejen fuj, ale i zbytečné. Ačkoliv lze ze známých x,y vypočíst n, nijak to nepomůže rozklíčovat řešení.

Historie


1. ledna 2017 stupeň obtížnosti zvýšen na 3,5.

3. ledna 2017 neoficiální FTS (First to solve) získal jsmith0001. Blahopřeji!

Additional Hints (Decrypt)

Svany: Qbyr cebuyéqav fhxl.

Decryption Key

A|B|C|D|E|F|G|H|I|J|K|L|M
-------------------------
N|O|P|Q|R|S|T|U|V|W|X|Y|Z

(letter above equals below, and vice versa)