Skip to content

Silicium #12 Mystery Cache

Hidden : 7/30/2016
Difficulty:
3 out of 5
Terrain:
1.5 out of 5

Size: Size:   small (small)

Join now to view geocache location details. It's free!

Watch

How Geocaching Works

Please note Use of geocaching.com services is subject to the terms and conditions in our disclaimer.

Geocache Description:

Silicium #12

A

Dieser Cache ist dem Element Silicium gewidmet, sowie dem Produktionsstandort Nünchritz und den Menschen, die mit dem Element und dem Standort verbunden sind.
Doch vor dem Cache eine Warnung:

A
DAS BETRETEN DES EINGEZÄUNTEN FIRMENGELÄNDES IST
NICHT NOTWENDIG UND VERBOTEN!!!
Die Listing - Koordinaten haben nichts mit der Lage der Dose zu tun!!!


Nun zur Dose

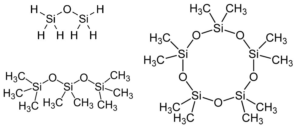
Siloxane / Silikone

Mit die bedeutensten Verbindungen des Siliciums sind die Siloxane. Gewonnen werden diese durch die Reaktion von Chlormethylsilanen aus dem Müller-Rochow-Verfahren mit Wasser. Dabei wird das Chlor durch das Wasser verdrängt. Durch die dann folgenden Kondensationsreaktionen werden eine nahezu endlose Vielzahl von Stoffen zugänglich.



Vor allem die hochmolekularen Verbindungen eignen sich hervorragend zur Herstellung von Kunststoffprodukten. Aufgrund ihrer chemischen Struktur zeigen diese Produkte eine sehr hohe Temperaturstabilität bei gleichzeitiger hoher Flexibilität. Diese Eigenschaften werden von Produkten auf Kohlenstoffbasis nur schwierig erreicht. Grund ist die unterschiedliche Bindungsgeometrie des Siliciums zum Kohlenstoff. Während der Bindungswinkel bei C-O-C Bindungen ca. 110° beträgt ist dieser bei Si-O-Si wesentlich größer. Die Rotationsenergie um die Si-O-Si Bindung ist sehr gering. Das ermöglicht die leichte Drehung der Atome um ihre jeweiligen Bindungen und macht die Flexibilität des Moleküls aus.
Neben ihren besonderen mechanischen Eigenschaften zeigen die Moleküle meist keine toxischen Eigenschaften. Sie eignen sich daher für eine Anwendung in der Kosmetik, in Waschmitteln und Entschäumern. Vor allem aber werden Sie in Kleb- und Dichtstoffen sowie als Hydrophobierungsmittel in der Bauindustrie eingesetzt.

Welchen Winkel spannen die Si-O-Si Atome in einem Polydimethylsiloxan? (ABC°)
Welchen Winkel spannen die O-Si-O Atome in einem Polydimethylsiloxan? (DEF°)
Um die einzelnen Moleküle zu beschreiben, wurde für die Siloxanbausteine eine eigene Nomenklatur entwickelt, welche aus nur einem Buchstaben besteht.

Finde die Bezeichung für folgende Bauteile und wandle sie entsprechend A=1 usw. in Zahlen um



N 51° 17.(I-G)(I/2-B)(I/H)
E 013° 2B.(G-H)(H-D-E)(B+A)

Deine Lösung für die Koordinaten dieses Rätsels kannst du hier überprüfen.

Happy Finding!

Additional Hints (No hints available.)