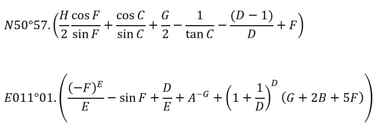
Über diese Formel gelangt ihr zum Final:

Nur das Endergebnis wird gerundet!
A= Fläche gepflasterter Teil des Domplatzes in m² (gerundet auf 10er)
B= Marcel Barth gewinnt 2016 die wievielte Auflage des Rennens "Goldenes Rad von Erfurt"?
C= Anzahl aller Bäume im Steiger (gerundet auf 100er)
D= Anzahl der Pflastersteine auf dem Domplatz (gerundet auf 10er)
E= Anzahl der Pflastersteine in ganz Erfurt (gerundet auf 100er)
F= Welche Straßenbahnlinie fährt zum Steigerwaldstadion?
G= Hausnummer der Thüringer Staatskanzlei
H= Länge der Landebahn Flughafen Erfurt-Weimar in m
(Ihr benötigt die Werte von November 2016.)
Prüfe Deine Lösung