Skip to content

Funktionskunst Mystery Cache

Difficulty:
3 out of 5
Terrain:
2 out of 5

Size: Size:   small (small)

Join now to view geocache location details. It's free!

Watch

How Geocaching Works

Related Web Page

Please note Use of geocaching.com services is subject to the terms and conditions in our disclaimer.

Geocache Description:


Als ich letztens nach einer anstrengenden Wartungsrunde mal wieder in der Hängematte lag und dabei die letzten Sonnenstrahlen genossen habe, ist mir eine gute Rätselidee gekommen. Weil wie schon einmal niemand da war, um mich von deren Umsetzung abzuhalten, wurde sie gleich in die Tat umgesetzt. Dass das eigentlich nicht gut enden kann dürfte klar sein, aber seht selbst.


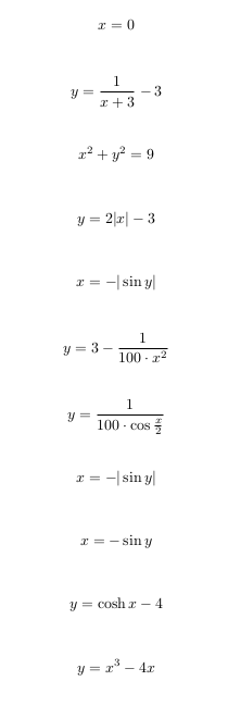
Eure Aufgabe ist diesmal, herauszufinden, welcher Gedanke mir an diesem Abend durch den Kopf gegangen ist. Dafür müsst ihr probieren, meine Gedanken zu lesen, die ich hier aufgeschrieben habe:

Euch interessiert immer dabei immer dieser Bereich:




Der Buchstabenwortwert des Satzes sei

und die Anzahl der Worte ist

Den Cache findet ihr bei

N 49° 00. C*X+39
E 008° 34. 6*X-45

Wenn ihr alles entschlüsselt und die Koordinaten ausgerechnet habt, könnt ihr sie hier überprüfen:




Viel Spaß beim Rätseln und Suchen!!


Wenn ihr den Cache gefunden habt, dürft euch dieses wunderschöne Banner in euer Profil laden:




Kopiert dazu einfach diesen Link in eure Profilseite:

<a href="http://coord.info/GC5DY1Y"><img src="https://s3.amazonaws.com/gs-geo-images/174207e1-2227-48da-abcb-39ebd7f932b5.png"/></a>

Additional Hints (Decrypt)

Bora; Onhz zvg Fcyvggrenagrvy.

Decryption Key

A|B|C|D|E|F|G|H|I|J|K|L|M
-------------------------
N|O|P|Q|R|S|T|U|V|W|X|Y|Z

(letter above equals below, and vice versa)