Skip to content

The alien of Mathica Mystery Cache

This cache has been archived.

EdlevRet: Deze alien is terug naar zijn planeet...

More
Hidden : 12/1/2016
Difficulty:
5 out of 5
Terrain:
2.5 out of 5

Size: Size:   micro (micro)

Join now to view geocache location details. It's free!

Watch

How Geocaching Works

Please note Use of geocaching.com services is subject to the terms and conditions in our disclaimer.

Geocache Description:

Deze alien, Mr. Functy genaamd, is geboren op de planeet Mathica en is afstammeling van Mr Sinus, Mevr Irratio, Mevr. Elliptica en Mr. Circulum.


Uit Functy’s mond komen enkel rare klanken:

Dit MR.

Op de aangegeven coördinaten zal je misschien in een graancirkel belanden en contact kunnen leggen met Mr. Functy, maar de stash zal je er in elk geval niet vinden.

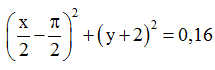
Dit is niet BEPAALD een gemakkelijk mysterie. Het is INTEGRAAL bedoeld voor de die-hard wiskundigen onder jullie…

Wat is de oppervlakte van het blauwe gebied? Bereken tot op 48 decimalen nauwkeurig.

De stash moet je zoeken op N50°AB’CD,E” E003°FG’HI,J”

 

A = 44ste cijfer na de komma.

B = 38ste cijfer na de komma.

C = 40ste cijfer na de komma.

D = 45ste cijfer na de komma.

E = 9de cijfer na de komma.

F = 46ste cijfer na de komma.

G = 29ste cijfer na de komma.

H = 34ste cijfer na de komma.

I = 19de cijfer na de komma.

J = 21ste cijfer na de komma.

Je kunt de antwoorden van de puzzel controleren op GeoChecker.com.

Additional Hints (Decrypt)

... mvwa erynkrq

Decryption Key

A|B|C|D|E|F|G|H|I|J|K|L|M
-------------------------
N|O|P|Q|R|S|T|U|V|W|X|Y|Z

(letter above equals below, and vice versa)