Skip to content

#03 Påskeharen Mystery Cache

This cache has been archived.

MrEvensen: Done

More
Hidden : 3/25/2017
Difficulty:
4.5 out of 5
Terrain:
1 out of 5

Size: Size:   other (other)

Join now to view geocache location details. It's free!

Watch

How Geocaching Works

Please note Use of geocaching.com services is subject to the terms and conditions in our disclaimer.

Geocache Description:

Påskeharen har vært på besøkt og glemt igjen hele 81 cacher. Disse er en utfordring for alle og en hver, både mentalt og fysisk. Klarer du å finne alle boksene?


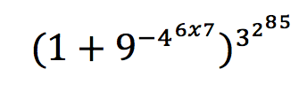
Påskeharen er glad i tall! For å få koordinatet til boksen må du løse oppgaven under og sjekke svaret ditt med certitude.

You can validate your puzzle solution with certitude.

Additional Hints (Decrypt)

Bcctnir: 9 fvssre rggre qrfvznyra geratf

Decryption Key

A|B|C|D|E|F|G|H|I|J|K|L|M
-------------------------
N|O|P|Q|R|S|T|U|V|W|X|Y|Z

(letter above equals below, and vice versa)