El Tchavèye d’Môriamé [Wa]
Ène tchavèye èst ène vûde alondjî, caracteristike dè l’orografèye du Condroz. A Môriamé, el « Tchavèye » èst ci vûde stindant al Rûwe Crwès Meurice, dès djîsses al cinse djusqu’aux quate-tchèmwins avou el Rûwe Crwès Biston èt el Nouvia Vôye.
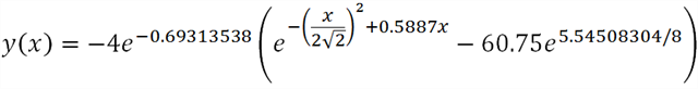
Mètans qu’el profil dè l’vûde èst el fonction :
.

El pwint el pus bas dè l’Tchavèye èst a x=A.BCDFG avou ène altitude di HJK.
El cache èst a N 50° (C-D)(J*A).(F-H)B(D+B) E 004° (F-C)([B-H]*J).(D+A)(K-J)G.
Pou douvrir el cache, aspoyez al'mitan dè l'boutchon. Pou clôre el cache, aspoyez su l'bord dè l'boutchon.
El Tchavèye d’Môriamé [Fr]
Une chavée est une dépression allongée, caractéristique de l’orographie du Condroz. A Morialmé, la « Chavée » est cette dépression s’étendant à la Rue Croix Meurice, des gîtes ruraux au carrefour avec la Rue Croix Biston et la Nouvelle Route.
Supposons le profil de cette dépression être la fonction :
.

Le point le plus bas de la chavée est situé en x=A.BCDFG et est situé à une altitude de HJK.
Les coordonnées de la cache sont N 50° (C-D)(J*A).(F-H)B(D+B) E 004° (F-C)([B-H]*J).(D+A)(K-J)G.
Pour ouvrir la cache, appuyez au milieu du couvercle. Pour refermer, appuyez sur les bords du couvercle.