Skip to content

Tuhkimon dilemma Mystery Cache

Hidden : 2/25/2018
Difficulty:
3.5 out of 5
Terrain:
2 out of 5

Size: Size:   regular (regular)

Join now to view geocache location details. It's free!

Watch

How Geocaching Works

Please note Use of geocaching.com services is subject to the terms and conditions in our disclaimer.

Geocache Description:


Tuhkimo kävi vetämässä viiden purkin kätköpäivän, mutta koska oli varsin kylmä keli, hän ei lokannut kätköjä heti. Ja kotiin tultua hänellä oli kiire laittautua illan tanssiaisia varten, joten nehän sitten jäivät vähän roikkumaan. Nyt kahden kuukauden kuluttua Tuhkimo on viimein lokkaamassa purkkeja. Mutta mitenkäs ne nyt oikein menivätkään…?

Auta Tuhkimoa lokkaamaan purkit, Tuhkimo muistaa vain joitain yksityiskohtia kätköistä. Jos Tuhkimo onnistuisi yhdistämään jokaiseen viiteen kätköön kätköttäjän, lokivihon, kätköpurkin, kynän ja kätköpaikan, hän muistaisi mikä kätkö oikeastaan oli mikäkin, ja pystyisi tekemään järkevät lokkaukset, eikä alentumaan kk:hon. (Huom. jokaiseen lokivihkoon, purkkiin jne viitataan vain yhdellä ominaisuudella. Eli esimerkiksi vihko, joka on mytty, tyhjä, täysi, puuttuva tai vetinen massa, ovat kaikki eri kätköissä.)

-Kätköttäjä Sonjiksen kätkö on kassakaappi.
-Juuri ennen kätköä, jonka lokivihko oli mytty, oli kätkö, josta puuttui lokivihko.
-PET-putkilosta puuttui kynä.
-Kolmas kätkö oli kiven alla.
-Kätkö, jossa oli sulkakynä ja mustepullo, oli juuri ennen tai jälkeen kätkön, joka oli ammuslaatikko.
-Kuusessa olleessa kätkössä oli puuvärikynä.
-Heti kätköttäjä Hiljaisuuden kätkön jälkeen seuraavan kätkön lokivihko oli tyhjä, sain FTF:n, hiphei!
-Kätkö, jossa oli sulkakynä ja mustepullo, oli juuri ennen tai jälkeen kätkön, joka oli punkkipusikossa.
-Kätköttäjä Banda52:n lokivihko on täynnä.
-Kätköttäjä TimoKoon kätkö on saaressa.
-Kätkölle, josta puuttui lokivihko, meni polku suoraan purkille.
-Kätkössä, jonka lokivihko oli vetinen massa, oli terätön lyijäri.
-Ensimmäinen kätkö oli kätköttäjä Hiljaisuuden tekemä.
-Kätkö, jossa oli terätön lyijykynä, oli juuri ennen tai jälkeen kätkön, joka oli linnunpönttö.
-Kätköttäjä Juusto-n kätkössä oli 684 Ingvarin kynää.


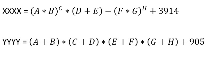
A) Monennessako kätkössä oli 684 Ingvarin kynää?
B) Monesko purkki oli ammuslaatikko?
C) Monesko kätkö oli kätköttäjä Sonjiksen tekemä?
D) Monesko purkki oli PET-putkilo?
E) Monennessako kätkössä oli sulkakynä ja mustepullo?
F) Monesko kätkö oli saaressa?
G) Monesko purkki oli täytetty karhu?
H) Monesko kätkö oli punkkipusikossa?

N62°5X.XXX
E27°4Y.YYY



PS. FTF-palkintona viidelle ensimmäiselle FTF:n lokkaajalle / FTF:n saaneille plus ensimmäisille muille nettiin lokanneille mainetta ja kunniaa pääsemällä/joutumalla tehtävään kätköttäjiksi Ö, Ä jne jantterien tilalle. Äläkä yritä kieltäytyä, koska silloin piruilen vain ja lisään sinut kuitenkin.

Additional Hints (Decrypt)

Chexvyyn: Cöaggöav ba yvaanav. Xhexvfgn ebuxrnfgv inna unzrra nyyr, fr xnaanggnn nvan.

Decryption Key

A|B|C|D|E|F|G|H|I|J|K|L|M
-------------------------
N|O|P|Q|R|S|T|U|V|W|X|Y|Z

(letter above equals below, and vice versa)