
UPDATE (v1.2 vom 03.11.2018): Der Cache musste abermals um ein paar Meter verlegt werden - der Checker verrät dir die neuen Final Koordinaten. Damit er nicht so leicht verschwindet ist es nun auch kein Nano mehr sondern ein Petling.
UPDATE (v1.1 vom 14.07.2018): Der Cache musste verlegt werden und daher gilt ab sofort: N + 76 und E + 8.
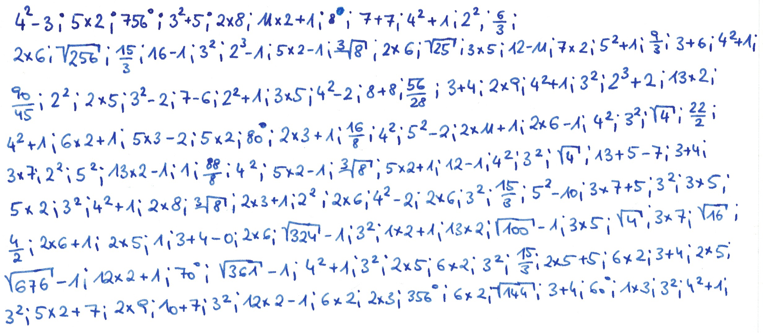
Der Cache ist im Gemeindegebiet von Mödling platziert und die Headerkoordinaten geben weder einen Anhaltspunkt noch die genauen Cachekoordinaten an. Um es noch gemütlicher zu machen gibt es in unmittelbarer Umgebung des Caches eine Parkmöglichkeit. Bis zum Cache sind es dann nur noch wenige Schritte.
Viel Spaß beim Rätseln und Suchen wünschen Euch
Die.Do & Gfrastsackl
PS.: Aus Platzgründen gilt bitte: BYOP
