Vägmatte är en serie mystar placerade i anslutning till större vägar, antingen vid rastplatser eller vid på/avfarter. Även att gömmorna är placerade så att det är riskfritt och lätt att stanna måste du ändå vara försiktig när du rör dig nära trafik. Gömman finns inte på de angivna koordinaterna. Lös uppgiften nedan för att få gömmans koordinater.
Ekvationer
Ekvationer är en matematisk likhet. Lösning av en ekvation ger en eller flera rötter (lösningar), en rot är ett värde på en obekant variabel som gör att likheten stämmer. Enklare ekvationer är de där x saknar exponent (grad 1) eller där x har 2 som högsta exponent (andragradsekvationer) och som saknar negativa exponenter, alltså på formen ax2+bx+c=0. Andragradsekvationer löses enkelt med den generella lösningsmetoden pq-formeln medan ekvationer med högre exponenter saknar generell lösningsformel, det kan med andra ord vara komplext att lösa sådana ekvationer.
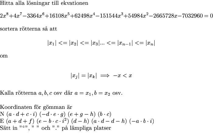
För att komma till gömman behöver du lösa nedanstående uppgift:

