Skip to content

Kołczewo - Pole golfowe Multi-Cache

Hidden : 1/9/2018
Difficulty:
2.5 out of 5
Terrain:
2 out of 5

Size: Size:   micro (micro)

Join now to view geocache location details. It's free!

Watch

How Geocaching Works

Please note Use of geocaching.com services is subject to the terms and conditions in our disclaimer.

Geocache Description:


Opis:



W Kołczewie znajduje się kompleks golfowy o powierzchni 66 ha, obejmujący m.in. 18-dołkowe pole golfowe oraz 9-dołkowe pole treningowe (od 2012 roku 9 dołek został wyłączony z użytku).
18 dołkowe pole mistrzowskie "Amber" było na przestrzeni ostatnich kilkunastu lat areną wielu turniejów krajowych i międzynarodowych takich jak: Mistrzostwa Polski Amatorów, Mistrzostwa Polski Juniorów, Indywidualne i Drużynowe Mistrzostwa Polski Zawodowców, EDS Trophy 1998 (oficjalna, specjalna impreza Ladies European Tour), Międzynarodowe Amatorskie Mistrzostwa Europy Kobiet 2000 , Drużynowe Mistrzostwa Europy Juniorów 2001, EGA Challenge Trophy Boys 2005 czy Polonia Cup. Niepowtarzalny klimat pola spowodowany jest nie tylko bezpośrednim sąsiedztwem Wolińskiego Parku Narodowego, ale także zróżnicowaniem trudności poszczególnych dołków, bogactwem przeszkód i zmiennym ukształtowaniem terenu. 18 dołkowe pole o par 72 jest skierowane zarówno do początkujących jak i zaawansowanych golfistów.
areną wielu turniejów krajowych i międzynarodowych takich jak: Mistrzostwa Polski Amatorów, Mistrzostwa Polski Juniorów, Indywidualne i Drużynowe Mistrzostwa Polski Zawodowców, EDS Trophy 1998 (oficjalna, specjalna impreza Ladies European Tour), Międzynarodowe Amatorskie Mistrzostwa Europy Kobiet 2000 , Drużynowe Mistrzostwa Europy Juniorów 2001, EGA Challenge Trophy Boys 2005 czy Polonia Cup. Niepowtarzalny klimat pola spowodowany jest nie tylko bezpośrednim sąsiedztwem Wolińskiego Parku Narodowego, ale także zróżnicowaniem trudności poszczególnych dołków, bogactwem przeszkód i zmiennym ukształtowaniem terenu. 18 dołkowe pole o par 72 jest skierowane zarówno do początkujących jak i zaawansowanych golfistów.
8 dołkowe pole "Baltic" o par 25 jest doskonałym miejscem do rozpoczęcia swojej przygody z grą w golfa. Pole skierowane jest nie tylko do stawiających pierwsze golfowe kroki, ale także do zawodników zaawansowanych, którzy chcą szlifowac swoją krótką grę. Nie od dzisiaj wiadomo, że dołki par 3 są najbardziej wymagające.

Mapa pola 18 dołkowego.


Kesz:

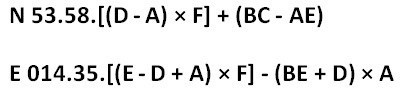
Udaj się pod startowe współrzędne i odczytaj z białej tablicy liczbę (ABCD), a następnie podstaw do wzoru.
Gehe zu den Startkoordinaten und lies vom Whiteboard die Nummer (ABCD) und dann die Basis für das Muster.




Po uzyskaniu nowych współrzędnych udaj się tam i odczytaj tam cyfrę (E).
Nachdem Sie die neuen Koordinaten erhalten haben, gehen Sie dorthin und lesen Sie dort die Nummer (E).




Będąc na miejscu odczytaj znajdujący się tam napis i oblicz wartość liter tego zwrotu. Uzyskaną liczbę podstaw do wzoru (F).
Wenn Sie dort sind, lesen Sie die Inschrift dort und berechnen Sie den Wert der Buchstaben dieses Satzes. Die erhaltene Anzahl der Basis für das Muster (F).




Teraz czeka już tylko finał.

Całość zajmie około 45 minut. Życzę miłej zabawy. Pozdrawiam Daniel

Additional Hints (No hints available.)