Skip to content

Wandertag - Vom Feuersee nach Sindelfingen Multi-Cache

Hidden : 5/11/2018
Difficulty:
3 out of 5
Terrain:
4 out of 5

Size: Size:   small (small)

Join now to view geocache location details. It's free!

Watch

How Geocaching Works

Please note Use of geocaching.com services is subject to the terms and conditions in our disclaimer.

Geocache Description:


Der Cache „Wandertag – Vom Feuersee nach Sindelfingen“. führt als Streckenwanderung mit einer Gesamtlänge von ca. 20 km. vom Feuersee in Stuttgart über den Hasenberg zum Bärenschlössle, Katzenbacher Hof und weiter durch den Sommerhofenpark bis in die Altstadt von Sindelfingen.
Bitte berücksichtigt: die Tracklänge entspricht dem kürzesten Weg ohne zusätzliche Meter durch Suchen an den Stationen, Abstecher zu Beifang, Ungenauigkeit aufgrund schlechtem Empfang etc. Rechnet damit am Ende des Tages – je nach persönlicher Ausdehnung der Strecke – vmtl. ca 25 km zurückgelegt zu haben und bis zu 30 km auf eurem Gerät angezeigt zu bekommen.

Der Cache: An jeder Station gilt es, ein Bild der Bildercollage zu identifizieren; damit es nicht ganz so einfach wird, haben sich ein paar zusätzliche Bilder dazugemischt.


Den Cache findet ihr bei:


Um euch die Wegführung zu erleichtern, empfehlen wir, den folgenden gpx-Track zu nutzen.
Achtung: Der folgende Link führt zu einer externen Webseite. Als Cachebesitzer versichere ich, dass diese Seite ungefährlich ist. Die Seite und ihr Inhalt sind nicht von Groundspeak oder einem Geocache Reviewer auf schädlichen Inhalt überprüft worden und die Seite wird auf eigene Gefahr besucht - Den gpx-Track findet ihr hier, (wird nicht zwingend benötigt, um den Cache zu lösen).

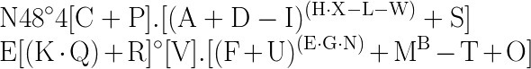
Aufgrund der Nachfrage bzgl. der (scheinbar) schwierigen Final-Formel:
1. Für Pragmatiker: der Taschenrechner kann das lösen!
2. Für Gemütliche: im Excel-Sheet könnt Ihr eure Wert-Zuordnung eintragen und bekommt ganz ohne Rechnen die Finalkoordinaten ausgespuckt!
3. Für Bildungshungrige: im folgenden Bild das Minimal-Wissen zur Potenzrechnung, das für die Formel benötigt wird (übrigens Schulstoff der Sek. 1 ;)): Quelle - wer Feuer gefangen hat, kann sein Wissen hier nochmal auffrischen.

An-/Abreise mit ÖPNV:
Anreise: S-Bahnhaltestelle „Feuersee“.
Abreise: S-Bahnhaltestelle „Sindelfingen“ oder z.B. Bushaltestelle „ZOB Sindelfingen“.

Für Bannerfreunde ein Souvenir:

HTML-Code: <a href="http://coord.info/GC7PA7B"><img src="https://img.geocaching.com/cache/3494ca38-8779-4232-890e-cfcf0e216086.jpg" style="width:600px;height:450px;" /></a>

Lust auf weitere Touren mit Geocaching-Bildersuche by TanBen?
Dann schaut mal hier vorbei:
1) Wandertag – Kaltental-Sonnenberg-Heslach (15 km)
2) Wandertag – Blaustrümpflerweg (10 km)
3) Wandertag – Rote-Socken-Weg (10 km)
4) Wandertag – Vom Feuersee nach Sindelfingen (20 km)
5) Rems-Murr-Wanderweg (50 km)
6) Herzog-Jäger-Pfad + Waldenbuch (19 km)
7) Wandertag – Burgen & Aussicht im Vulkanland Owen (20 km)
8) Wandertag – Höhlen, Albtrauf & Moor (30 km)
9) Stäffeles-Tour (15 km)
10) Wandertag – Wasserreich im Schwäbischen Wald (22 km)
11) Turm-Tour bei Herrenberg (11 km)
12) Weinwanderung am Württemberg (13 km)
13) Botnanger Kuckucksweg + Birkenkopf (14,5 km)
14) Wandertag – Siebenmühlental (25 km)
15) Wandertag – Aussichtsreich Esslingen (20 km)
16) Wandertag – Weinkultur pur bei Besigheim (60 km)
17) Neckartal Radweg – Bad Cannstatt --> Besigheim (50 km)
18) Fahrrad-Tour durchs Glemstal (55 km)
19) Wandertag – Zwischen Rems und Herrenbach Stausee (23 km)
20) Wilde Schluchten – Luftige Höhen – Tiefe Stollen (40 km)
21) 7-Berge-Weg Nagold (22 km)
22) Löwenpfad - HELDENTOUR (24 km)
23) Wandertag - Hochhinaus ins Stauferland (23 km)
24) Neckartal Radweg – Besigheim --> Bad Wimpfen (40 km)
25) Fernsehturm, Hohenheim & Scharnhauser Park (18 km)
26) Aspacher Panoramaweg (26 km)

in der alten Heimat Aachen:
0) Wandertag – Der Weiße Weg (24 km)

Additional Hints (Decrypt)

O: Unygr ibz 2.Gerccracbqrfg nhf Nhffpunh. Svany yvrtg avpug nhs qrz Genpx! Arhr Qbfr pn. 2z jrvgre erpugf. Fvrur Fcbvyreovyq - ovggr ibefvpugvt nhf qrz Irefgrpx mvrura! QNAXR

Decryption Key

A|B|C|D|E|F|G|H|I|J|K|L|M
-------------------------
N|O|P|Q|R|S|T|U|V|W|X|Y|Z

(letter above equals below, and vice versa)