Skip to content

Smysly - 1. Chut Mystery Cache

Hidden : 5/17/2018
Difficulty:
4.5 out of 5
Terrain:
3 out of 5

Size: Size:   other (other)

Join now to view geocache location details. It's free!

Watch

How Geocaching Works

Please note Use of geocaching.com services is subject to the terms and conditions in our disclaimer.

Geocache Description:


Smysl je schopnost organismu přijímat určitý druh informací z okolí. Tradičně se rozlišuje pět základních smyslů: chuť, čich, sluch, hmat a zrak. Touto malou sérií keší, která vznikla na oslavu našeho 10. geovýročí, vás chceme pozvat k otestování těchto smyslů.

Chuť je smysl, který dovoluje vnímat chemické látky rozpuštěné ve slinách nebo vodě.

Orgánem chuti je jazyk. Člověk má kolem 10 000 chuťových pohárků (s věkem se toto číslo snižuje). Chuťové receptory na jazyku člověka vnímající hořké, sladké, slané, kyselé, umami (což japonsky znamená chutný nebo delikátní), a podle nových výzkumů i „vápníkové“ a tučné, pravděpodobně existují i receptory vnímající některé komplexní sacharidy, tedy chuť „škrobovou“.  Ajurvéda rozlišuje vedle čtyř základních chutí ještě trpkost a pálivost.

Centrum vnímaní chuti se nachází v temenním laloku mozkové kůry, kde se kombinací základních složek tvoří výsledná chuť. Ta je ovlivněna nejen složením jídla, ale také jeho teplotou (teplá limonáda), konzistencí (mokrý chléb), vzhledem, předchozím vjemem (aperitiv), ale především vůní. Chuť je totiž velmi úzce spjata s čichem.


Ke keši

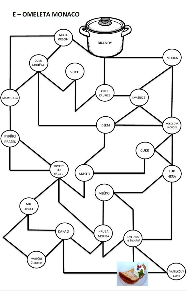
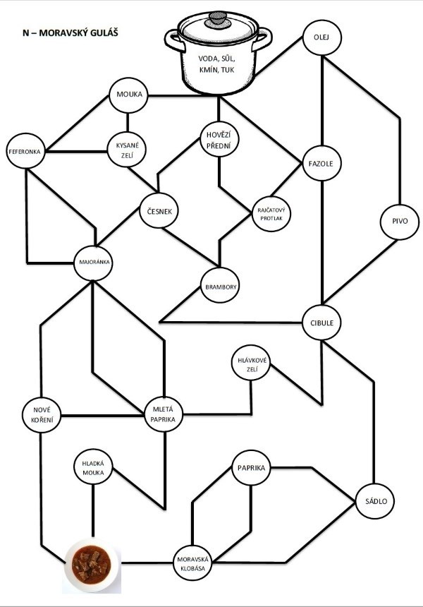
Uvařte si správně 2 jídla dle Receptury teplých pokrmů, která vás přiblíží ke keši.

Moravský guláš

Omeleta Monaco


Správné řešení si můžete zkontrolovat zde:

GeoCheck.org

Dávejte prosím pozor na mudly a v logu nenapovídejte a nevkládejte žádné fotky míst ani keší samotných. Děkujeme a přejeme hezký lov.


Zdroj: https://cs.wikipedia.org/wiki/Chu%C5%A5

J. Runštuk a kolektiv. Receptury teplých pokrmů, 1. vydání. Nakladatelství IQ 147 v edici Merkur, 1995.

Additional Hints (Decrypt)

i chfr

Decryption Key

A|B|C|D|E|F|G|H|I|J|K|L|M
-------------------------
N|O|P|Q|R|S|T|U|V|W|X|Y|Z

(letter above equals below, and vice versa)