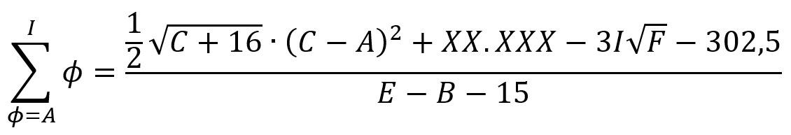
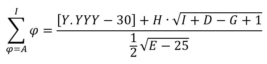
Die Suche nach der Weltformel beschäftigt schon seit langem die Wissenschaft. Aus den bisherigen Zwischenergebnissen hat sich nun eine neue Beziehung ergeben. Nach längerer theoretischer Betrachtung und eingehenden Studien ist sie in verschiedenen Veröffentlichungen kurz als die "Geocaching-Formel" zu finden. Dabei werden die folgenden Zusammenhänge berücksichtigt, die direkt mit der Geocaching-Formel korrelieren und die Lösung selbiger Geocacher an ihr Ziel führen soll. Dieser rein theoretische Ansatz muss allerdings noch durch ein entsprechendes empirisches Experiment verifiziert und im Laborbuch dokumentiert werden.

Nach der Lösung der Gleichungen (A) bis (I) folgt mit der Geocaching-Formel trivial

sowie

die Finalkoordinate für das versteckte Cachebehältnis:
N50° XX.XXX E007° 0Y.YYY
QED ⬜