Hallo an alle Geocacher,
Dies ist mein erster eigener Cach und es wäre super, wenn alle fair bleiben würden und sterben Aufgaben auf klassischer Art und Weise lösen. "Erkundungen" sind selbstverständlich erlaubt. Im Anschluss müssen ihr einige Aufgaben lösen, welche euch dann zum Ziel bringen ...
Aufgabe 1
Löse stets schriftlich und bis zum Ende! Am Ende musst du die vorgegebene Null erreichen!

Aufgabe 2
Goldener Schnitt
Das finde ich sehr interessant, da er eine Teilung in einem ganz bestimmten Verhältnis ist. Gebäudeteile zB Türme auf Viele Dächern sind so erbaut. Ich hoffe, dass ich euer Wissen ein bisschen steigern kann. Bei mir gibts heut die "einfache" Variante. Steigerungen sind ja jederzeit möglich! K licke Nonne auf den Link und informiere dich selbst.
https://de.wikipedia.org/wiki/Goldener_Schnitt#Architektur
Verwirkliche Nonne dein Können und werde selbst zum "Künstler" ...

Aufgabe 2.0:

Aufgabe 2.1
Stelle dir nun vor du möchtest deine Skizze mit 3 Farben ausmalen (zB rot, gelb und blau). Wieviele Möglichkeiten gibt es, wenn die gleiche Farbe NICHT nebeneinander und NICHT übereinander sein darf?
(Diagonal aneinander ist erlaubt.)
Tipp: Wer will kann das Muster auch als Vollkreis zeichnen und hat dann ein schönes Mandala zB für Kinder zum ausmalen.
Aufgabe 3
Stelle nun diesen Bruch um, sodass er den gleichen Nenner hat und ein Endergebnis berechne!

Nun hast du ein Teilergebnis 1. Dieses dividierst du nun durch 3!
Jetzt hast du hoffentlich erfolgreich dein 2.Teilergebnis herausgefunden!
This nimmst du nun, ermittelst den Vorgänger des 3. Zählers und kürzt nun bis zum Ende.
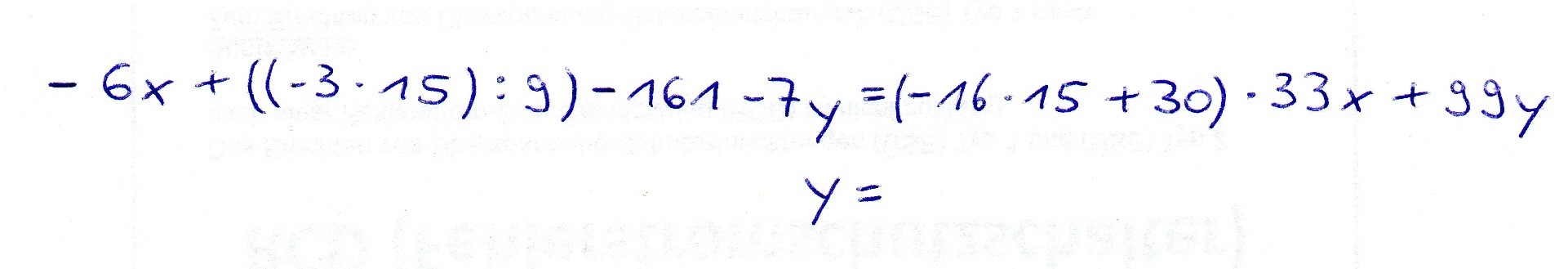
Aufgabe 4
Ermittle y, wenn x = 8!

Selbstverständlich kannst du hier so viele Zwischenschritte anwenden wie ihr braucht!
Aufgabe 5
Ziellinie erreicht aber noch nicht überquert!! Erkunde nun deine finalen Koordinaten!
N AB°CD.EFG
E HIJ°KL.MNO

Ich & J
Löse hier noch eine weitere Aufgabe. Gehe zu Aufgabe 3.
Schreibe folgende 4 Zahlen hintereinander von links nach rechts als eine Zahl auf:
1. Zahl = Ermittle den Divisor, welchen du zwischen Teilergbnis 1 und Teilergebnis 2 verwendet hast.
2. Zahl = Jetzt kommt der Vorgänger deiner soeben ermittelten 1. Zahl.
3. Zahl = Jetzt schreibst du den Nachfolger deiner soeben ermittelten 1. Zahl auf.
4. Zahl = Nun verdopple noch schnell deine soeben ermittelte 3.Zahl (Nachfolger) und schon hast du deine erste 4stellige Zahl
Diese Zahl = m
Berechne nun noch schnell eine 2. Zahl (diese heißt z):
Gehe zu Aufgabe 3 zurück!
Nehme nun den 1.Zähler und den 3.Nenner (gekürztes Ergebnis) und multipliziere diese miteinander.
Nun rechne z minus m!
Jetzt noch ganz schnell sterben gleiche Zahl wegstreichen und du hast als 1. Zahl, dein I erhalten und an zweiter Stelle dein J !!


Aufgrund der Verlegung: - Dividiere nun vom Nordwert der letzten 3 Zahlen die Zahl 5 und vom Ostwert der letzten 3 Zahlen die Zahl 83.
ZIEL ERREICHT! Los gehts zum Versteck ..., viel Spaß ...