SLO
Vipava - slovenske Benetke
Reka Vipava priteče na dan v številnih kraških izvirih pod strmim pobočjem Nanosa, kjer so se, verjetno prav zaradi obilja čiste vode, ljudje naselili že v pradavnini. Deltast izvir reke Vipave, edini te vrste v Evropi, daje kraju svojevrsten pečat.
Čez izvire reke Vipave in rečne rokave (Močilnik, Bela, Lipca) so v preteklih stoletjih v Vipavi zgradili kar 25 mostov.
Vabljeni na sprehod / kolesarjenje po Vipavi in njeni okolici ter raziskovanje številnih mostov.
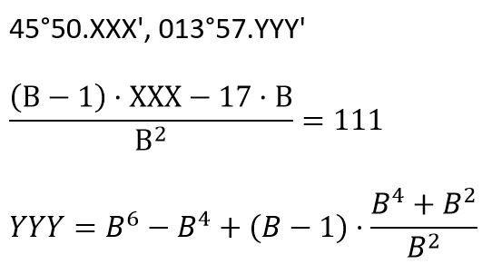
Z mostu, na katerem stojite (začetna lokacija) poglejte proti severovzhodu (nasproti toka reke), nagnite se čez most in na njem boste opazili belo tablico o izmerjeni gladini vode. Na tablici je štirimestno število KLMN. Seštejte števke in dobite število B = K + L + M + N.
Zakladek se nahaja v bližini še enega mostu:

ENG
Vipava - Slovenian Venice
The Vipava River flows daily in many karst springs beneath the steep slope of Nanos, where, probably because of the abundance of clean water, people settled in ancient times. The delta spring of the Vipava river, the only one of its kind in Europe, gives the place a unique mark.
In the past centuries, as many as 25 bridges have been built across the springs of the Vipava River and the river branches (Močilnik, Bela, Lipca).
You are invited to take a walk / cycling around Vipava and explore the many bridges.
You are standing on the bridge. Look to the northeast (opposite the river flow), lean over the bridge and you will notice a white sign on it (informations about the measured water level). The plate has a four-digit KLMN number. Let it be K + L + M + N = B.
The cache is located near another bridge:
