SLO
Vipava - slovenske Benetke
Reka Vipava priteče na dan v številnih kraških izvirih pod strmim pobočjem Nanosa, kjer so se, verjetno prav zaradi obilja čiste vode, ljudje naselili že v pradavnini. Deltast izvir reke Vipave, edini te vrste v Evropi, daje kraju svojevrsten pečat.
Čez izvire reke Vipave in rečne rokave (Močilnik, Bela, Lipca) so v preteklih stoletjih v Vipavi zgradili kar 25 mostov.
Vabljeni na sprehod / kolesarjenje po Vipavi in njeni okolici ter raziskovanje številnih mostov.
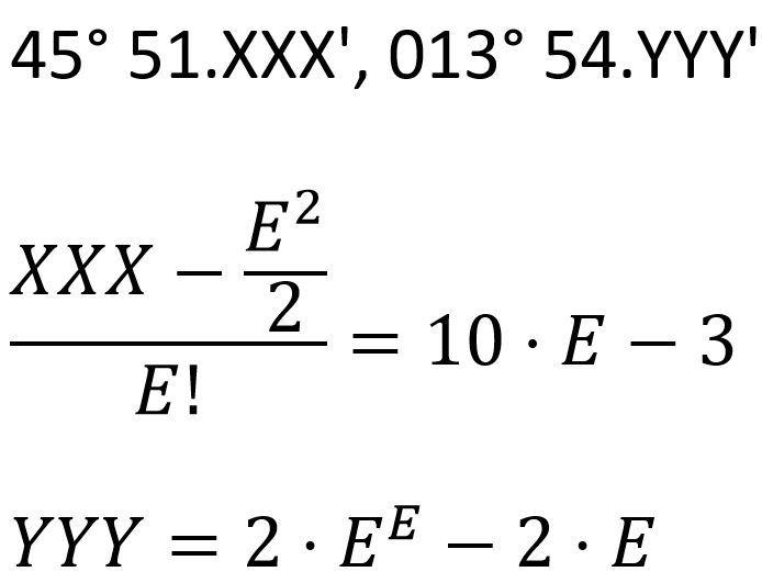
Stojite pri mostu čez potok Belo. Poiščite pozitivno celoštevilsko rešitev enačbe, ki se nahaja na ograji neposredno pod železno kroglo premera 10 cm. To število naj bo E.
Zakladek se nahaja v bližini še enega mostu:

ENG
Vipava - Slovenian Venice
The Vipava River flows daily in many karst springs beneath the steep slope of Nanos, where, probably because of the abundance of clean water, people settled in ancient times. The delta spring of the Vipava river, the only one of its kind in Europe, gives the place a unique mark.
In the past centuries, as many as 25 bridges have been built across the springs of the Vipava River and the river branches (Močilnik, Bela, Lipca).
You are invited to take a walk / cycling around Vipava and explore the many bridges.
You are standing by the bridge over the small river Bela. Find the positive integer solution of the equation located on the fence directly below the iron ball (diameter 10 cm). This number is E.
The cache is located near another bridge:
