Skip to content

Verfolgungsjagd beim Ruhlander Zollhaus Letterbox Hybrid

Hidden : 10/20/2020
Difficulty:
3 out of 5
Terrain:
3 out of 5

Size: Size:   large (large)

Join now to view geocache location details. It's free!

Watch

How Geocaching Works

Please note Use of geocaching.com services is subject to the terms and conditions in our disclaimer.

Geocache Description:


Ab den 1.Juli 2022 gibt es eine neue Berechnungsformel und ein neues Finale, dieses ist leider nicht mehr so Aufwendig, bedanken könnt ihr euch bei den Langfingern und Grobmotorikern.

 

 

Dich erwartet eine Verfolgungsjagt durch Ruhland, lese dir Stück für Stück den Text durch und befolge die Aufgaben. Unterwegs brauchst du kein GPS, nur einen Zettel und Stift um dir Werte zur Berechnung der Finalkoordinaten notieren zu können. Zwischendurch gibt es ein paar markante Bilder, damit du sicher sein kannst, auf den richtigen Weg zu sein. Los geht es bei den Listingkoordinaten, hier kannst du auch parken.

 

 

 

 

Trude, die Chefin vom Zollhaus, schaute verwundert ihren Mann Egon an und blickte aus dem Fenster, sie bemerkte, das jemand den Haupteingang vom Zollhaus mit Hammer und Nägeln verschloss. Es war schon spät in der Nacht, die letzten Gäste waren verschwunden, nur ein Hilfspolizist schlief am Tisch seinen Rausch aus. Sie befahl ihren Angestellten nachzusehen, was das nun wieder für ein Blödsinn sein sollte. Erika und Elfriede nahmen den Nebeneingang und schauten ängstlich um die Hausecke herum.

 

 

 

 

Es gab draußen wieder eine Prügellei, wie fast jeden Tag, die Zimmersleute aus dem Schweppnitzer Sägewerk hatten wieder einen über ihren Durst getrunken. Erika sah sie noch Richtung Kirchturm/ Marktplatz rennen. 

Vor dem Gasthaus humpelte ein Soldat den beiden entgegen und viel den beiden blutverschmiert in die Arme, "bitte helft mir"

Er wurde nieder gestochen.

Trude schrie, "lasst ihn liegen, ich möchte damit nichts zu tun haben, das gibt nur Ärger".

Sie hätte nicht so laut schreien sollen, der Hilfspolizist schreckte auf, zückte seine Dienstwaffe und nahm seine Füße in die Hand.

Er sah die Handwerker in der Ferne noch nach Rechts abbiegen.

 

 

 

Jetzt geht es für dich los, auf dem Weg solltest du folgendes Bild entdecken.

 

 

 

Geh weiter, bis dich ein Schwarm Bienen aufhält, wie viele einzelne Bienen kannst du sehen? Nicht die vom Bienenstock!

A=

 

 

 

Nachdem du vor den Bienen flüchten konntest, überlege kurz, in welche Richtung der Polizist vorhin die Attentäter flüchten sah. Bieg ab und nix wie hinterher!

Der Polizist folgte der Straße, er wusste das das hier eine Sackgasse ist und bereitete sich auf einen Kampf vor. Aber am Ende der Straße war niemand zu sehen!

Da erblickte er eine Blutspur und einen geheimen Zugang. Gehe nicht durch das Tor im Bild, nimm den Weg rechts daneben.

Wo führt dieser nur hin?

 

 

 

Er ging weiter, unterwegs viel ihn folgende Stelle auf, blieb aber nicht stehen.

 

 

 

Wenn du am Ende angekommen bist, beantworte folgende Frage:

Welche Zahl steht auf dem Verkehrsschild? (Geschwindigkeitsberschränkung)

B=

Jetzt überquere den Bach auf der linken Seite, kurz danach geht es links weiter.

 

 

 

Wenn du folgendes Bild siehst, geht es rechts weiter.

 

 

 

Wenn du folgende Stelle findest, notiere dir die dazugehörige Hausnummer.

C=

 

 

 

 

Etwas weiter war wieder eine Blutspur zu sehen, wenn du folgendes Bild siehst, bieg kurz vorher nach links ab.

 

 

 

Auf dem folgenden Weg sollten dir diese beiden Stellen auffallen, geh aber weiter.

 

 

 

 

Wenn du an folgender Stelle angekommen bist, notieredir die schwarze 4 stellige Zahl (Lodenmühle) und gehe rechts weiter.

DEEF=

 

 

 

Hier sind wieder Blutspuren zu erkennen, gehe rechts den Weg entlang.

 

 

 

An folgender Stelle kommt dir ein Arzt entgegen, der dir aufgeregt erklärt, das ihm ein paar Männer aufgefordert hatten, sie zu verarzten. Sie verschwanden dann weiter die Straße entlang.

Welches Wort steht über diesem Schild? Bilde den Buchstabenwortwert.

G=

 

 

 

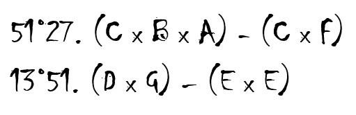
Gehe jetzt weiter bis zur nächsten Abzweigung, dort findest du einen Zeittel mit einer komplizierten Gleichung am Boden, wo haben sich die Gauner versteckt?

 

 

 

 

Viel Spaß beim Suchen und denk an den Bonus, dafür ist vom Finale der Letterbox noch eine Peilung nötig!

 

Für Bannerfreunde, wenn ihr die Letterbox und den Bonus gefunden habt.

 

<a href="https://www.geocaching.com/geocache/GC90Y8F_verfolgungsjagd-beim-ruhlander-zollhaus" target="_blank"><img src="https://s3.amazonaws.com/gs-geo-images/44ad9ebb-2ba9-429b-86ee-52c73d5c1aeb.jpg" /></a>

 

 

Additional Hints (Decrypt)

Vz Obqra, uvagre rvarz Fgenhpu

Decryption Key

A|B|C|D|E|F|G|H|I|J|K|L|M
-------------------------
N|O|P|Q|R|S|T|U|V|W|X|Y|Z

(letter above equals below, and vice versa)