Skip to content

Besuch in Blankenfelde - Adventure Lab BONUS Mystery Cache

Hidden : 12/12/2020
Difficulty:
3 out of 5
Terrain:
1.5 out of 5

Size: Size:   micro (micro)

Join now to view geocache location details. It's free!

Watch

How Geocaching Works

Please note Use of geocaching.com services is subject to the terms and conditions in our disclaimer.

Geocache Description:


Besuch in Blankenfelde .:. Adventure Lab BONUS

Bahnhof Blankenfelde

Hier ist der Bonus zu dem Adventure Lab-Cache 'Besuch in Blankenfelde'.

In dem Ortsteil mit Dorfcharakter könnt ihr ein paar schöne Orte besuchen und die Natur genießen.



Zum Bonus
An den gelisteten Koordinaten ist nichts zu finden. Dazu ist es erforderlich, dass ihr den Adventure Lab-Cache gelöst habt.

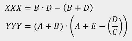
Ihr benötigt bei gelösten Wörtern stets die Anzahl der Buchstaben. Bei gelösten Zahlen, die Zahl selbst.

A: Freiwillige Feuerwehr Blankenfelde (Anzahl der Buchstaben)
B: Platanengrundschule (Anzahl der Buchstaben)
C: Dorfkirche Blankenfelde (Zahl)
D: Stadtgut Blankenfelde (Anzahl der Buchstaben)
E: Gesellschaftshaus und Schützenhaus (Anzahl der Buchstaben)

Formel

N52°37.XXX .:. E013°23.YYY

Viel Spaß!



Hinweise
Der D-Wert ergibt sich aus dem hohen Muggelaufkommen auf Pneus.

Eine ECA wird nicht benötigt.

Bitte Stift mitbringen.



 

Additional Hints (Decrypt)

[Vor Ort:] Rgjn 16.30 Hue, uvre fgrug qvr Mrvg va Oynaxrasryqr fgvyy.

Decryption Key

A|B|C|D|E|F|G|H|I|J|K|L|M
-------------------------
N|O|P|Q|R|S|T|U|V|W|X|Y|Z

(letter above equals below, and vice versa)