So unwahrscheinlich es klingt, aber es ist mir gelungen den Zufall berechenbar zu machen.
Um den Beweis anzutreten habe ich dieser bahnbrechenden Entdeckung einen Cache gewidmet.
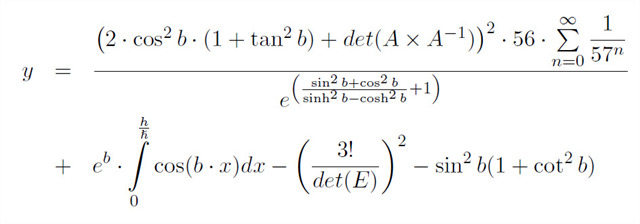
Alles was Ihr braucht um an die Koordinaten zu kommen sind drei handelsübliche Würfen und die Gleichungen aus dem Listing.
Fix gewürfelt.
Einmal für N, hier stellt Ihr euren Lieblingswürfel in die Mitte und den Kleinsten Wurf nach links, (z.B. 4 2 6).
So ergibt sich dann a = 426.
Die Rechnung ist denkbar einfach, denn die drei Nachkommastellen für N ergeben sich durch Einsetzen von a in die folgende Gleichung.

Bei E würfelt Ihr mit verbundenen Augen (doppelt blind) und sortiert die Würfel nicht.
b = Wurf
Die so ermittelten Zahlen setzt ihr jetzt in die folgenden Gleichungen ein.
Es wird hier leider etwas komplizierter, denn wir müssen in die Gleichung noch das Plancksche Wirkungsquantum h und das reduzierte Plancksche Wirkungsquantum ħ einsetzen um die Heisenberg’sche Unschärfe ausreichend zu berücksichtigen.

(Durch geschickte Transformation ist es mir jedoch gelungen diese beiden Konstanten als Quotient h/ħ in die obere Grenze des Integrals zu verbannen.)

Das Final liegt also bei
N 51° 15.x E 006° 57.y
Ob Ihr recht habt der nicht, sagt Euch gleich der Checker.
Leider ist die Formel doch etwas Komplexer geworden, aber so ist das mit dem Zufall.
Einfach ist das nicht seine Regeln zu durchschauen.
Bei drei Würfeln ergeben sich ja nicht sooo viele Kombinationen, aber Ihr schafft das schon..
Ich habe noch einen zweiten GeoChecker mit eingefügt.
In diesem Checker findet Ihr eine übersichtliche Auflösung des Rätsels.

Falls jemand Wege findet die Formel weiter zu vereinfachen, so würde ich mich über eine PM sehr freuen.
Wer möchte darf sich nach dem erfolgreichen Loggen das unten stehende Banner ins Profil einbinden.
html code:
<a href="https://coord.info/GC93VA0">
<img src="https://img.geocaching.com/cache/large/8195b923-797d-4741-870f-20d61a18ab88.png" width="350"></a>
