Skip to content

LKR-52 Kurvendiskussion – Ableitung Mystery Cache

Hidden : 10/5/2020
Difficulty:
3.5 out of 5
Terrain:
4 out of 5

Size: Size:   micro (micro)

Join now to view geocache location details. It's free!

Watch

How Geocaching Works

Please note Use of geocaching.com services is subject to the terms and conditions in our disclaimer.

Geocache Description:



Die Luhkleppel-Runde

Birresborn Panoramabild

Weitere Informationen und allgemeine Hinweise zur Luhkleppel-Runde


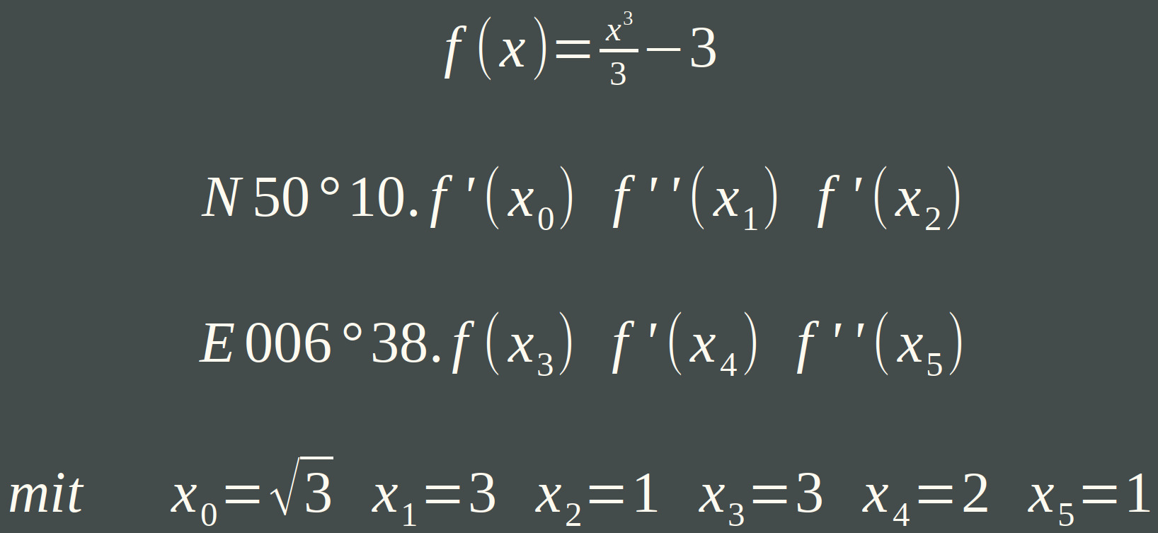
Das Rätsel:


Die Finalkoordinaten:



Zur Überprüfung:





Additional Hints (No hints available.)