Mit dieser kleinen Mysteryrunde werdet ihr den Pfad der 1000 Eichen etwas näher kennen lernen. Mir geht es hier hauptsächlich darum euch die schöne Gegend zu zeigen. Die Rätsel drumherum sollen die Caches etwas kniffeliger machen. Außerdem werdet ihr eine Angel benötigen. Ich hoffe euch gefällt die kleine Serie!
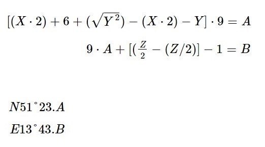
Jetzt wird es sehr kompliziert, wie es sich für einen D5er gehört!
Wieviele Liter Wasser befinden sich im Schlossgraben? Das ein und abfließende Wasser sind zu vernachlässigen, dieses befindet sich stets im Gleichgewicht! Verdunstung und Versickerung sind in der Gleichung irrelevant!
Menge in Liter = X
Wieviele Bieberschwänze befinden sich auf dem Dach des Schlosses? Die Anzahl kann man leicht mit einem Drohnenflug ermitteln.
Menge = Y
Wieviele Eichen befinden sich auf dem Grundstück des Parkes, inklusive dem Pfad der 1000 Eichen. Das sollte hier die leichteste Aufgabe sein.
Anzahl = Z

Und hier zu den Gleichungen:

Viel Spaß!