“The study of the tides is the tomb of human curiosity”
Francois Arago (1786-1853), physicist, astronomer.
For anyone living near the coast, ocean tides1 are a feature of daily life. This is particularly evident in the Moutere Inlet which is flooded at high tide, but at low tide it is possible to walk on the mud flats over large parts of the Inlet, including to several what are small islands at high tide.
If asked what causes ocean tides, most would say that tides are caused by the Moon2, or possibly the Moon’s gravitational field or something similar. And whilst that explanation is partly right, it does not provide a full picture. For example: Why, if the Moon is only overhead once per day do we have two tides per day? Why do the heights of tides vary at different times of the year? Why is that not the same for all places on the Earth? Is the Moon really moving further away from the Earth – and why would it do that?
This Earth Cache uses a simplified model to investigate the physics that govern ocean tides, and some of the less obvious consequences for the Earth and Moon over time. It examines why the Moon is the primary body that regulates ocean tides – even though the mass of the Sun is over 27 million times greater than that of the Moon.
Isaac Newton formulated the gravitational relationship between two bodies in 1687. Folklore tells us that he was sitting under an apple tree when an apple fell and struck him on the head, which led him to think about the forces that made that happen. Newton determined that the Force of Gravity, Fg, is proportional to the mass of each of the two bodies exerting a gravitational effect on each other, and inversely proportional to the square of the distance between them. A Gravitational Constant provides the ratio to relate the values we use of mass in kilograms and distance in metres. Newton’s formula for gravitational force (in the units of Newtons which were named after him) is:
Equation 1
where:
Fg is the force of gravity between the two bodies M1 and M2 (in Newtons)
G is the Gravitational Constant: 6.674×10−11 m3⋅kg−1⋅s−2
M1 is the mass of the first body (in kilograms)
M2 is the mass of the second body (in kilograms)
r is the distance between M1 and M2 (in metres).
Newton’s formulation remained the most accurate formula for calculation of gravitational forces until 1915 when Einstein’s theory of General Relativity provided a more complete formulation where space and time are not independent but combined in ‘space-time’ where their dimensions are interdependent. While Einstein’s formulation is more accurate than Newton’s, the mathematics are complex, and the improved accuracy is immaterial for most real-world situations – including the calculation of tidal forces.
As seen in Newton’s equation for the gravitational force, the force has an ‘Inverse-Squared’ relationship with the distance between the two bodies M1 and M2. This means that the gravitational force experienced on the side of the Earth nearest the Moon will be greater than that on the opposite side of the Earth.
Using Wikipedia values:
Mass of the Moon MM = 7.34 x 1022 kg
Average distance the Moon orbits the Earth rME = 3.84 x 108 m
Average radius of the Earth rE = 6.37 x 106 m
In the calculations below values are expressed using Scientific Notation – e.g. the mass of the Moon, 7.34 x 1022 kg, is written as 7.34E22 where the E22 is shorthand for x 1022.
The gravitational force on a 1 kg test mass on the side of the Earth nearest the Moon is:
Equation 2
The gravitational force on a 1 kg test mass on the side of the Earth farthest from the Moon is:
Equation 3
Comparing Fnear and Ffar we can see that the gravitational force from Moon is just under 7% stronger on the near side of the Earth than the far. This can be seen in the diagram below showing the gravitational attraction of the Moon from different places on the surface of the Earth, and at the Earth’s centre (in red):

Because we are interested in the differential gravitational affect we subtract the vector at the centre (in Red in Diagram 1) of the Earth from each of the other vectors. As seen in Diagram 2 the result is an inward force at the two poles, and two bulges, one on the side nearest the Moon, and the other on the opposite side of the Earth.
It is for this reason that we get approximately two tides per day. As the Earth rotates ‘under the tidal bulges’, we see the tides ‘come in’ and ‘go out’. The tides are 12 hour 25 minutes apart 50 minutes because the moon revolves around the Earth in the same direction that the Earth orbits the Sun, it travels a little more on its orbit each day requiring the Earth to rotate an extra 50 minutes for the same point on the surface of the Earth to ‘catch up’ to the Moon.
Differential Gravitational Force
Mathematically the differential gravitational force is given by the derivative of the force of gravity with respect to the distance between the two masses. Strictly the equation for force of gravity provided above should have shown the force of gravity being negative which denotes that the force is attractive. Taking this into account, the differential force of gravity is:
Equation 4
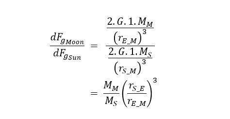
From this we can compare how much stronger the Moon’s differential gravitational force is than from the differential gravitational force of the Sun:
Equation 5
Why do the heights of the tides vary throughout the year?
There are two main reasons why the heights of the tides vary throughout the year.
The first is related to the relative positions of the Sun, Earth, and Moon. When all three objects are in a line, the gravitational affects of both the Sun and the Moon act to reinforce each other along the vectors shown in Diagram 2 resulting in higher and lower tides – these are known as Spring Tides and coincide with a New or Full Moon which is when we see almost none of the Moon as its lit surface is facing the Sun, or the Full Moon when it is on the opposite side of the Earth, and we see its face fully lit. Approximately two weeks later when the Moon has advanced in its orbit to be perpendicular to the line between the Sun and Earth, the gravitational force of the Sun on the Earth makes no contribution to the tidal force exerted by the Moon and we see lower High tides, and higher Low tides – the tides are known as Neap Tides.
The second factor affecting the height of the tides is that the orbit of the Moon around the Earth and the orbit of the Earth-Moon system around the Sun are elliptical rather than circular. When the Moon is at its closest, at perigee, the distance between the Earth and the Moon is 6.0% less than its average distance. This means that the distance r in the denominator for the gravitational force is smaller, hence the stronger gravitational force. And correspondingly, when the Moon is furthest from the Earth, Apogee, the distance is 5.3% greater than the average distance resulting in a weaker gravitational force.
Is the Moon really receding from the Earth?
Spoiler Alert – Yes! The average distance between the Moon and Earth is increasing by approximately 3.78 cm annually – and the days are getting longer!
The reason for this is the rotation of the Earth. The rate of rotation of the Earth is faster than orbital velocity of the Moon, and as a result, through the friction of the seawater on the ocean floors and choke flows through narrow cannels, it drags the tidal bugle forward of the position directly between the Moon and the Earth. A consequence is that the tidal bulge provides a gravitational ‘pull’ on the Moon which ever so slightly increases the Moon’s orbital velocity. However, one of the laws of physics is Conservation of Angular Momentum. Analysis of the Earth-Moon system where rotation of the Earth, rotation of the Moon, and the orbit of the Moon around the Earth shows that the Moon is moving away from the Earth, which has also been confirmed experimentally.
So, if the radius of the Moon’s orbit around the Earth is increasing, and Angular Momentum is to be conserved, where is the corresponding loss of Angular Momentum? The answer is semi-self-evident from observing that the friction of the oceans flowing across the seabed surface, around the continents and through choke points all slow the rotation of the Earth. This has also been observed through measurement although the effects are small. Every six months the International Earth Rotation and Reference Systems Service reviews the differences, and when necessary, adjusts international Coordinated Universal Time to account for the slowing of the Earth’s rotation – see here for further information.
Logging Requirements
1. Note the date and time of your visit to the GZ, and describe the state of the tide (e.g. high, low, half etc, and if you can tell whether the tide is coming in or going out).
2. Take a photo of yourself, your GPS receiver, or something that identifies you as a geocacher with the Moutere Estuary in the background. Attach the photo to your log.
3. Using Equation 5 and the values below, verify that the differential gravitational force, the tidal force, of the Moon is substantially stronger than that of the Sun:
Mass of the Sun MS = 1.989 x 1030 kg
Average distance the Earth orbits the Sun rSE = 1.499 x 1011 m
Send the CO your answers to questions 1 and 3 through the Message Centre or via email. You can log your find as soon as you have sent your answers – you don’t need to wait for confirmation. I will respond if there is something wrong. Don’t forget to attach the photo to your log as proof of your visit to the GZ.
Notes:
1 In Geophysics there are two types of tides:
- Body Tides (also known as Earth Tides). These tides deform the shape of Earth because of the differential gravitational forces of the Moon and Sun which displace the surface of the Earth.
- Ocean Tides which are the rise and fall of the ocean as measured from the surface of the Earth. We see as this as the rise and fall of the ocean between high water and low water marks of each tidal cycle. All references to tides in this cache refer to ocean tides.
2 The term ‘Moon’ refers to the natural satellite that orbits the Earth. It is a proper noun. The term is often misused – e.g. the moons of Jupiter (or Mars or Saturn). They are not ‘moons’ but natural satellites of those planets. An analogy would be to refer to the ‘suns’ in the night sky rather than stars, or all the ‘earths’ orbiting exo-planets – both of which are clearly wrong.