The Anchor Lake Wayside has a nice overlook that I wanted to share, and with a fun little math problem so it wouldn't be too easy to find.
The final co-ordinates are in the form:
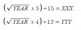
N 47º 19.XXX W 092º 28.YYY
The sign that has the same message on both sides was erected in 1993 by a Group that was Instituted in what YEAR. That year is the number that XXX and YYY are derived from. You'll need to find the square root of YEAR. What follows is the formula for XXX and YYY.

The cache is at eye level and should be easy to find. Hopefully, not so easy that muggles find it.