Skip to content

Transformator elektroenergetyczny Mystery Cache

This cache has been archived.

Carpatia: Skrytka została zarchiwizowana z powodu braku reakcji właściciela/właścicielki: braku serwisu skrytki oraz braku odpowiedzi w oczekiwanym czasie na ostatnią notatkę recenzencką.

Jeśli w terenie pozostały jakieś resztki po skrytce, proszę je uprzątnąć.

Carpatia - Community Volunteer Reviewer

More
Hidden : 10/29/2013
Difficulty:
3.5 out of 5
Terrain:
2.5 out of 5

Size: Size:   regular (regular)

Join now to view geocache location details. It's free!

Watch

How Geocaching Works

Please note Use of geocaching.com services is subject to the terms and conditions in our disclaimer.

Geocache Description:

PODANE WSPÓŁRZĘDNE NIE POKAZUJĄ MIEJSCA UKRYCIA SKRZYNKI. Kesz jest związany z transformatorem elektroenergetycznym znajdującym się w stacji transformatorowej. Aby odgadnąć prawidłowe współrzędne, należy rozwiązać zadanie posługując się informacjami w opisie.

Stacja transformatorowa (stacja trafo) - stacja elektroenergetyczna, w której następuje rozdzielanie energii elektrycznej przy różnych poziomach napięć, wyposażona w transformatory i/lub przekształtniki prądu przemiennego na stały i odwrotnie. W skład stacji transformatorowych SN/nN wchodzą przede wszystkim: transformator, rozdzielnia średniego napięcia, rozdzielnia niskiego napięcia.
Dodatkowe wyposażenie stacji stanowią również układy pomiarowe (przekładniki prądowe oraz napięciowe wraz z licznikami) czy zabezpieczeniowe (wyłączniki, odłączniki itp.).

Transformator rozdzielczy – transformator energetyczny transformujący napięcia średnie (np. 6, 15, 20, 30 kV) na niskie (0,4 kV), odpowiednie do zasilania urządzeń końcowych (odbiorniki przemysłowe, odbiorcy komunalno-bytowi, odbiorcy indywidualni), w miejscach połączeń sieci średniego napięcia z siecią niskiego napięcia. Transformator jest urządzeniem umożliwiającym zmianę napięcia przemiennego z wyższego na niższe lub odwrotnie.

Transformator składa się przede wszystkim z:
-uzwojenia pierwotnego podłączonego do źródła napięcia, którego wartość chcemy zmienić,
-uzwojenia wtórnego, na którym napięcie ma zmienioną wartość,
-rdzenia ferromagnetycznego, w którym powstaje okresowo zmienny strumień indukcji magnetycznej na skutek przepływu prądu zmiennego przez uzwojenie pierwotne.

W przypadku najprostszego transformatora mówimy o transformatorze 1-fazowym, którego schemat przedstawiony jest na poniższym rysunku.

schemat1
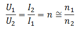
Napięcia i prądy w uzwojeniu wtórnym i pierwotnym spełniają zależność:
przekladnia
U1, U2, to napięcia na uzwojeniu pierwotnym i wtórnym.
I1, I2, to prądy w uzwojeniu pierwotnym i wtórnym.
n1, n2, to liczby zwojów w uzwojeniu pierwotnym i wtórnym.
Ich stosunek jest równy przekładni napięciowej n (U1/U2), która w tym przypadku jest równa przekładni zwojowej (n1/n2).

W rzeczywistości przy układach wielofazowych i różnym skojarzeniu uzwojeń (tak jak to ma miejsce w przypadku tejże stacji SN/nN o skojarzeniu Dy tj. trójkąt-gwiazda) przekładnie te nie są sobie równe. Jest to jednak bardziej skomplikowane zagadnienie i pominiemy je w tym momencie.

Wygląd transformatora ze względu na zastosowanie czy inne czynniki może znacząco się różnić dla różnych przypadków. Różna budowa oraz właściwości opierają się na zmiennych parametrach takich jak np.: lokalizacja uzwojeń, kształt rdzenia, liczba faz transformatora, czy rodzaj syciwa (sposób chłodzenia).


Jako dodatkowe ciekawe informacje związane z transformatorem oraz siecią energetyczną:

A) energię na duże dystanse przesyła się wykorzystując wysokie poziomy napięć z kilku przyczyn:

- dzięki wyższym napięciom można przesłać mniejszy prąd przy tej samej ilości przesłanej energii co powoduje znaczne zmniejszenie straty mocy i energii w liniach energetycznych,
- ta sama ilość energii może być przesłana cieńszymi przewodami, przez co są one lżejsze, a co za tym idzie bardziej odporne na zrywanie oraz tańsze,
- ponieważ prąd jest mniejszy ilość energii która może być przesłana jest znacznie większa, co daje większe możliwości optymalizacji rozpływu mocy w całym systemie elektroenergetycznym, zapewnienie większej stabilności napięciowej u odbiorców (mniejsze spadki napięć na liniach przesyłowych),

B) w Polsce sieci najwyższych poziomów napięć NN opierają się na sieci 750 kV (na tą chwilę sieć nieużywana), 400 kV oraz 220 kV, ale wykorzystuje się na świecie również większe poziomy napięć (więcej na http://pl.wikipedia.org/wiki/Sie%C4%87_najwy%C5%BCszego_napi%C4%99cia )

C) transformatory SN/nN konstruowane są przeważnie jako te z regulacją beznapięciową (oznacza to, że aby zmienić przekładnie transformatora, co czasami się robi należy odłączyć transformator od sieci i zmienić jego zaczepy). Istnieją jednak transformatory o wyższych poziomach napięć, które posiadają możliwość regulacji zaczepów pod obciążeniem poprzez specjalne układy automatyki.


Moc transformatora określona jest za pomocą wzoru (jest to oczywiście jego moc przechodnia, która przesyłana jest dalej, a nie ta przez niego pobierana na straty mocy):
1
Sn – moc pozorna znamionowa transformatora,
Un – napięcie znamionowe transformatora.
In – prąd znamionowy transformatora.

Straty mocy w transformatorze dzielą się na:
- straty jałowe mocy czynnej oraz mocy biernej
- straty obciążeniowe mocy czynnej oraz mocy biernej.

Jałowe straty mocy.
Jałowe straty mocy czynnej związane są z faktem, że transformator podłączony do sieci zasilającej zawsze pobiera energię, nawet gdy jego strona wtórna jest nieobciążona.
Są to straty idące na grzanie się rdzenia transformatora (żelazo). Ich wielkość zależy od poziomu napięcia zasilającego zgodnie ze wzorem:
2
∆PjTr - jałowe straty mocy czynnej w transformatorze,
∆PjTrN – jałowe znamionowe straty mocy czynnej w transformatorze,

Obciążeniowe straty mocy.
Obciążeniowe straty mocy czynnej zależne są od obciążenia transformatora i związane są z nagrzewaniem uzwojeń transformatora (miedzi).
Zależą one kwadratowo od mocy przepływającej przez transformator.
Wzór na obciążeniowe straty mocy czynnej:
3
∆POTr - obciążeniowe straty mocy czynnej w transformatorze,
∆POTrN – znamionowe obciążeniowe straty mocy czynnej w transformatorze.

W przypadku gdy napięcie zasilające transformator jest na poziomie znamionowym wzór upraszcza się i obciążeniowe straty mocy zależą od kwadratu przepływającego prądu:
4
Oprócz strat mocy czynnej w transformatorze występują również straty mocy biernej, które to są kilkukrotnie większe i dzięki nim możliwe jest działanie transformatora poprzez zjawisko indukcji magnetycznej. Ich analiza jednak jest już trochę bardziej skomplikowana.

Gdyby kogoś bardziej interesowały zagadnienia związane z tą skrzynką np. straty mocy biernej, bardziej dokładne wyjaśnienie działania transformatorów czy inne rzeczy odsyłam do poniższych linków:
http://www.ssdservice.pl/~ssdservice/SSDdrives/ELEKTROTECHNIKA/transformatory/transf.pdf
http://we.pb.edu.pl/~solbut/pdf/trafo.pdf


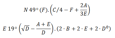
ZADANIE:

Niestety nie posiadam parametrów transformatora, którego dotyczy kesz.
Przykładowe parametry znamionowe transformatora SN/nN, które posłużą do wyznaczenia współrzędnych skrzynki po rozwiązaniu poniższego zadania:
5
Jest to oczywiście transformator obniżający napięcie tzn., że strona pierwotna transformatora zasilana jest napięciem górnym.

Mając dane znamionowe transformatora energetycznego oraz informacje ze wzorami przedstawione w opisie kesza należy:
A) obliczyć przekładnię napięciową znamionową n [-]
B) obliczyć prąd znamionowy strony pierwotnej transformatora In1 [A]
C) obliczyć prąd znamionowy strony wtórnej In2 [A]
D) obliczyć całkowite straty mocy w transformatorze ΔP [kW] (jałowe oraz obciążeniowe) przy obciążeniu transformatora jego znamionowymi parametrami
E) obliczyć ile będą wynosić całkowite straty mocy w transformatorze ΔP [kW] jałowe oraz obciążeniowe przy obciążeniu transformatora połową jego mocy znamionowej przy utrzymaniu napięcia na poziomie znamionowym,
F) obliczyć ile procent wszystkich strat mocy czynnej zajmują straty jałowe przy obciążeniu transformatora połową jego mocy znamionowej przy utrzymaniu napięcia na poziomie znamionowym (przypadek z podpunktu E) [%]

W nawiasach podano jednostki, w których należy wyrazić końcowe wyniki.

Wartości należy zaokrąglić do pełnych jedności przed podstawieniem do końcowego wzoru tj:
6wzor
Suma kontrolna: 3946.

Additional Hints (No hints available.)