Un peu d'histoire:
La décision de créer la Base aérienne 112 remonte à 1925 et son entrée en service à octobre 1928.Trois années de travaux ont été nécessaires pour remettre en état le terrain ravagé par la guerre de tranchées.
Pendant la Seconde Guerre mondiale les Allemands s’emparent de la base aérienne, terrain qu’ils occuperont jusqu’en août 1944.Fin 1949 la base aérienne de Reims est de nouveau active.
Fin 1973, les premiers Mirage F1 se posent sur la B.A.112. De 1961 à 1978 stationne aussi à Reims la 62e Escadre de transport dotée de Nord 2501 Noratlas et de quelques Breguet 941 S.
Au gré des réformes, la BA 112 connaît de nouvelles évolutions dès 1993, avec la disparition de la 30e Escadre de chasse. Cependant, la silhouette du Mirage F1 ne quitte pas le ciel champenois puisqu’elle reçoit les escadrons de reconnaissance 01.033 Belfort et 02.033 Savoie, en provenance de la base de Strasbourg-Entzheim, alors dissoute.
Conséquence de la réforme de la carte militaire, près de 83 ans après sa création officielle, la base aérienne 112 « Marin-la-Meslée » a été officiellement fermée, le 30 juin 2011, par le chef d’Etat-major de l’armée de l’Air, le général Jean-Paul Paloméros.
Jusqu’à une date récente, la base de Reims mettait en oeuvre une quarantaine d’avions et était le 3e employeur de la région rémoise, avec un impact économique estimé à plus de 60 millions d’euros. Quant à la reconversion de ce site de 540 hectares, rien n’a encore été décidé.
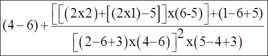
L'énigme:


Vérifier votre solution
