
Nach Kant, dem vielleicht wichtigsten Vertreter der Aufklärung, ist Wissenschaft der Inbegriff des menschlichen Wissens, das nach Prinzipien geordnete Ganze der Erkenntnis. Dazu gehört ein methodischer Prozess nachvollziehbaren Forschens und Erkennens, der kommunizierbar und überprüfbar ist sowie bestimmten wissenschaftlichen Kriterien folgt. Diese Errungenschaften der Aufklärung werden aber immer wieder von Pseudowissenschaften wie Astrologie, Kreationismus und Numerologie infrage gestellt. Der niederländische Astrophysiker Cornelis de Jager hat mit Beispielen aus der Zahlenmystik versucht, diese irrationale Vorgehensweise zu parodieren.
De Jager hat einfach vier Größen seines holländischen Fahrrades vermessen (Pedalweg, Durchmesser des Vorderrads, der Lampe und der Klingel) und gezeigt, dass sich aus diesen wenigen Parametern mit einfachen mathematischen Operationen etliche physikalische Konstanten und astronomische Werte errechnen lassen. Er konnte z. B. den Abstand zwischen Erde und Sonne, das Massenverhältnis von Proton zu Elektron, die Gravitationskonstante, die Feinstrukturkonstante und die Lichtgeschwindigkeit mit simplen Formeln beschreiben. Die numerischen Details findet man in seinem Originalartikel für die niederländische Ausgabe des Skeptical Inquirer, dem Organ der weltweiten Skeptikerbewegung. Für seine Zahlenspielerei auf der Basis eines Fahrrades hat sich der Begriff Radosophie eingebürgert. Eine äußerst sehenswerte Darstellung konnte man vor 15 Jahren in der Fernsehsendung Alpha Centauri (Folge 66) bewundern, wo Harald Lesch die Zusammenhänge in seiner unnachahmlichen Weise präsentierte.
Man kann mathematisch recht einfach zeigen, dass sich mit einer kleinen Anzahl von Zahlen, Messwerten und Datenerhebungen fast alles reproduzieren lässt. In numerischen Experimenten wie auch im täglichen Leben gibt es immer wieder Fälle von Koinzidenz. Solche zufälligen Übereinstimmungen werden gerne verwendet, um die Existenz paranormaler Vorgänge oder unsinnige Theorien zu beweisen. Ein typisches Beispiel ist die Pyramidologie, wo die Dimensionen und Größenverhältnisse der Pyramiden im alten Ägypten mit zahlenmystischen Spekulationen in Verbindung gebracht werden. Die meisten Menschen unterschätzen die gewaltige Menge möglicher Kombinationen von Zahlen. Und das hat es vielen pseudowissenschaftlichen Auffassungen (man könnte sie auch Märchen nennen - oder sollten wir von alternativen Fakten sprechen?) leicht gemacht, sich auszubreiten oder gar allgemeine Anerkennung zu finden.
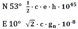
Für die Startkoordinaten dieses Caches drehe ich die Situation nun einfach um. Selbstverständlich habe ich einen derart mystischen Ort gewählt, dass sich die Koordinaten aus den Naturkonstanten berechnen lassen. Begib dich daher zu folgender Position und beginne die Suche:

Die Buchstaben symbolisieren die physikalischen Konstanten gemäß üblicher Konvention (in SI-Einheiten rechnen!). Ob du die Zehnerpotenzen korrekt berücksichtigst oder einfach nur die ersten fünf Stellen des Resultats verwendest, bleibt dir überlassen. Du solltest jedoch bei der Berechnung bedenken, dass du dir keine allzu großen Rundungsfehler leisten kannst, da man schnell ein paar Meter neben dem Ziel landet. Dein Ergebnis kannst du mit GeoCheck verifizieren (ich habe eine Toleranz von 5 m gewählt). Insgesamt hast du zwei Zwischenstationen plus Final zu finden.

Als kleiner Anreiz enthält der Cache eine FTF-Urkunde sowie einen Meteoriten (Sikhote Alin) für den Erstfinder. Ein TB sowie einige Tauschutensilien gehören ebenfalls zum Startinhalt. Viel Spaß bei der Suche!