Skip to content

Relatively General (Wellington) Mystery Cache

Hidden : 2/19/2017
Difficulty:
4 out of 5
Terrain:
2 out of 5

Size: Size:   small (small)

Join now to view geocache location details. It's free!

Watch

How Geocaching Works

Please note Use of geocaching.com services is subject to the terms and conditions in our disclaimer.

Geocache Description:

A puzzle cache involving Einstein's Theory of General Relativity.


These coordinates are not where the cache is – but it is somewhere where you could learn all you need to know to solve the puzzle. This cache is a ‘sister’ cache to: Relatively Special - GC5XG19. Soon after its publication I was asked “Where is the cache on General Relativity?” Well, it’s taken a while but here it is.

The sections on theory are not essential, but they do provide insight into how Einstein’s developed his theory of General Relativity. The ‘intuitive first order approximation derivation’ below follows Einstein’s Equivalence Principles published in 1907. The approach has limitations which have been noted, but it keeps the maths at a level that hopefully most can deal with.

Einstein’s ‘Thought’ Experiment

Einstein’s theory of Special Relativity was published in 1905. It was ‘special’ because it only applied to inertial, or non-accelerating, reference frames. However most real life situations do include acceleration – i.e. changes of speed and/or direction. Einstein imagined floating in space in a box with no windows and far away from any stars or planets and their gravitational influence. Suddenly he was dropped down to the floor. What happened? Was he being pulled down by gravity or was the box being accelerated upward by a rocket? No matter what experiment he performed, he could not tell the difference.

Diagram 1

The fact that these two effects produced the same result led Einstein to conclude that there is no difference between gravity and acceleration — they are the same thing. He described the realisation as “the happiest moment of my life”.

When he combined this thought with his Theory of Special Relativity (that motion can affect time and space) he realised that it meant that gravity can also affect time and space.

Gravitational Time Dilation – an intuitive first order approximation derivation

We begin by considering Einstein’s box floating in deep outer space unaffected by any gravitational field. The box, a laboratory, has a light pulse emitter on its floor and a detector on the roof that can measure the time, t seconds (s), that the pulse takes to travel the distance between the floor and the roof, distance y metres (m):

Diagram 2

We know that light always travels at speed c, so:

Equations 1 & 2

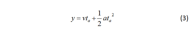
In Equations (1) and (2) the subscript i denotes that this is the time in the inertial reference frame – i.e. it is not accelerating. But what happens if the box is accelerating? We consider the situation at time t = 0 (s) when two things happen simultaneously. A light pulse is emitted from the floor toward the detector, and the box instantaneously starts accelerating at constant acceleration a in the Y direction (i.e. upward as far as anyone in the box was concerned) at acceleration a (ms-2). Because the box is now accelerating, the detector on the ceiling of the box is moving away from the light pulse as it approaches, so the pulse must travel a little further before it reaches the detector than it does in the inertial reference frame. We can use Kinematics to determine how far the light pulse needs to travel:

Equation 3

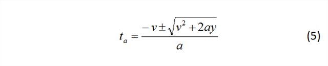
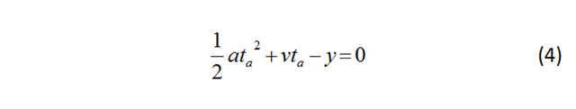
The subscript a in Equation (3) notes that this is the time as measured in the accelerating reference frame. We want to find a solution for ta. If we rewrite Equation (3) in the form:

Equation 4

we can see that Equation 4 is a quadratic equation of ta . We can therefor immediately solutions for ta as:

Equation 5

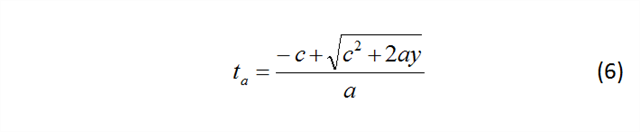
We take the positive solution of the ± because the negative root results in an imaginary solution which is not physical. Substituting v with c as we know the light pulse travels at speed c, we can write:

Equation 6

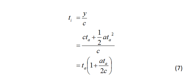
Here we note that both Equations (2) and (3) relate values of y. Substituting Equation (3) into Equation (2) provides:

Equation 7

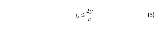
We note that this solution is only valid when:

Equation 8

because we have specified that the box is at constant acceleration which would eventually reach and then pass the speed of light which is not possible. Substituting Equation (8) into Equation (7) provides:

Equation 9

Equation (9) is the equation for time dilation in our simple model.

Comparison with General Relativity

So how does this solution compare with the exact solution using the full theory of General Relativity with tensor calculus, Minkowski space-time and Riemannian Manifolds? The formula that properly describes the gravitational time dilation from the Theory of General Relativity is:

Equation 10

Equation (10) looks nothing like the result we derived. However, first we note that in Equation (7) we refer to acceleration a. When considering gravitational acceleration we use Newton’s Law of Gravitation:

Equation 11

Where Fg is the gravitational attraction between the bodies with mass M and m respectively, and separation of r metres.

We also have Newton’s Second Law of motion:

Equation 12

We can equate Equations (11) and (12) because we are considering the same force to find that the gravitation acceleration of body M:

Equation 13

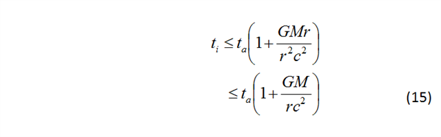
We now return to Equation (10), and specifically to the square root term which we can expand using the Binomial Expansion. We can confine the expansion to the first two terms because the numeric values of subsequent terms are negligible providing:

Equation 14

We also make a change of variable from y to r in Equation11 which we can do as y is the distance in the radial path from M. Substituting Equation (14) into Equation (9):

Equation 15

Equation 15 is the same as our intuitive first order approximation derived above. It shows the tremendous depth of vision Einstein developed through a simple thought experiment.

Puzzle

As Geocachers however we rely on general relativity every time we cache. The NavStar Global Positioning System (at time of publishing) consists of 31 satellites orbiting the Earth at 14,000 km/h at a height of 20,200 km. Because of their speed and height the satellites experience relativistic affects. Because of their speed the satellite clocks lose around 7 microseconds per day. Because of the difference in the strength of the gravitational field the clocks gain around 45 microseconds per day. The net effect is a gain of approximately 38 microseconds per day which if not corrected would result in an accumulating position error of about 10 km every day.

To solve this cache you will need to solve the daily time difference resulting from the difference in gravitational field between you, a GPSr user on the surface of the Earth, and the satellite orbiting 20,200 km above the Earth. You will then use that answer to calculate to obtain the cache coordinates. The answer you should obtain is within the range 40-50 microseconds. It is important that you use the values and constants to the precision (i.e. the number of decimal places) provided, and that you use maximum precision in calculations to avoid rounding errors. Use of a spreadsheet and displaying answers to the maximum number of digits available is recommended.

Equation 10 allows us to calculate the gravitational time dilation calculates the time dilation between the centre of mass M and a point in orbit at distance r:

Equation 10

where: G is the gravitational constant: G = 6.67408E-11 m3kg-1s-2 M is the mass of the Earth: M = 5.9722E24 kg and R is the radius from the centre of mass (discussed below). c is the speed of light: c = 299792458 ms-1 T0 is the time as experienced at the centre of mass M. T is the time as experienced at distance r. However, we are not at the centre of the Earth – we are on its surface. To calculate the difference between how we experience time on the surface and a satellite at height h above the Earth we can use Equation (16):

Equation 16

the values listed above and:

r, the radius of the Earth: r = 6,731 km (we model the Earth as a perfect sphere)

h, the height of the satellite’s orbit: h = 20,200 km.

Calculate the daily time difference of the orbiting satellite in microseconds. As previously stated, your answer should be within the range of 45 ± 5 microseconds.


You can find the cache at coordinates S41° ab.cde E174° fg.hij where:

ab.cde = the daily time difference in microseconds x 0.3158859

and

fg.hij = the daily time difference in microseconds x 1.1213622

Use Geocheck to confirm your answer and receive a hint for the final:

Additional Hints (Decrypt)

Gnxr pner jvgu lbhe havgf!

Decryption Key

A|B|C|D|E|F|G|H|I|J|K|L|M
-------------------------
N|O|P|Q|R|S|T|U|V|W|X|Y|Z

(letter above equals below, and vice versa)