Leiden profileert zich als ‘Stad van Ontdekkingen’. Al sinds de oprichting van de universiteit hebben prominente wetenschappers een deel van hun baanbrekende werk hier uitgevoerd. In het centrum zijn tal van bewijzen hiervoor te vinden: de gebouwen van de universiteit, plaquettes op woonhuizen, heel veel informatieborden en hier en daar een borstbeeld.
Sinds 1992 verschijnen met enige regelmaat muurgedichten op de Leidse gevels. Het zijn er inmiddels meer dan 100, in allerlei talen. Zo worden de taalwetenschappen en de schoonheid van taal prominent in beeld gebracht. Vanaf 2015 verschijnen met enige regelmaat ook formules in het straatbeeld. Op deze manier worden ook de natuurwetenschappen zichtbaar gemaakt. En een elegante natuurkundige formule is natuurlijk net een gedicht!
Inmiddels zijn op zeven blinde muren formules verschenen. Een mooie aanleiding voor een multicache.
Op de foto zie je het voormalige natuurwetenschappelijk laboratorium van de universiteit Leiden, nu de rechtenfaculteit.
De muurformules
Bezoek zes van de zeven muurformules en vind de aanwijzingen voor de eindcache. Uiteraard zal er gerekend moeten worden, maar je hoeft niet opnieuw natuurkunde-examen te doen. De waypoints kunnen in willekeurige volgorde worden bezocht. Handig voor onderweg: een tabel met morsecodes, het Griekse alfabet en een rekenmachine.
0. Door meten tot weten - Heike Kamerlingh Onnes
Bij de hoofdingang staat het borstbeeld van de naamgever van het gebouw, een van de drijvende krachten achter het vele baanbrekende onderzoek dat in Leiden is verricht. Aan de hand van de eerste datum op het borstbeeld kun je een controlegetal bepalen.
Σ = {Eerste cijfer van de datum, (vierkantswortel van de som van het eerste en laatste cijfer van het jaartal), maandnummer}.
1. Kromming van ruimte en tijd - Albert Einstein
R = het aantal letters in de formule dat niet in het Griekse alfabet voorkomt; Λ = de som van de letterwaarden van de laatste letter van het eerste woord en de eerste letter van het derde woord van de morsetekst.
2. Een geladen deeltje buigt af in een magneetveld - Hendrik Lorentz
F = het aantal hoofdjes boven 'Lorentz' aan de overkant van de Hooigracht; E = het aantal pijlen in de muurschildering - goed kijken!
3. Licht verandert van richting bij de overgang naar een ander medium - Willebrord Snel van Royen
n = het aantal n’s in de formule; θ = het getal op het fietsverkeerslicht op de Hogewoerd aan de kant van de muurformule. Omdat het verkeerslicht (tijdelijk?) afwezig is: θ = Λ-1.
4. We draaien met grote snelheid rond het centrum van de Melkweg - Jan Oort
A = het aantal steenlagen tussen ZON en de rand van de melkweg; B = het leesbare getal in het muurgedicht aan de andere kant van het plantsoentje.
5. Een elektron draait linksom of... ...het draait rechtsom - George Uhlenbeck en Samuel Goudsmit
S = Som van de linkse en de rechtse formule; ħ = de constante op de lantaarn links (achter de geraniums). Voor wie niet met Röntgenogen door de nieuwe laag verf heen kan kijken: ħ = θ/F.
6. Voorwerpen vervormen afhankelijk van de snelheid van de waarnemer - Hendrik Lorentz en Albert Einstein
L = Het getal op het bovenleidingportaal, afgerond naar beneden; v = het aantal cirkels (vervormd of niet) - goed kijken, het zijn er dubbel zoveel dan je misschien denkt!
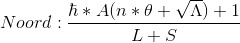
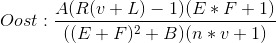
De formule voor de eindcache
Je hebt nu twaalf parameters verzameld die optellen tot het controlegetal Σ. De parameters kunnen in de volgende formules worden ingevuld. Je zult deze niet op de muur of in BINAS vinden, maar als je rekent als een natuurkundige zullen ze wel tot de eindcache leiden.


Succes met zoeken!
De muurformule-awards worden als volgt toegekend:
- De gouden medaille voor eerste vondst: NLBokkie en Berrydehamster
-- De bronzen medaille voor rekenkunde: Naj16
-- De eervolle vermelding voor het voorbereidend onderzoek: Stefine12