Extraterrestrische Reichweite
- Eine reale Begebenheit, kürzlich beim ZDF -
Harald Lesch steht wieder vor der Kamera und philosophiert darüber, ob Außerirdische nicht schon längst durch unsere Funksignale auf uns aufmerksam geworden sind. „Aber wir funken ja erst seit rund einhundert Jahren…“, schließt Lesch nachdenklich.
Wie weit reichen unsere Funksignale denn eigentlich? Das kann man doch leicht ausrechnen!
Vielleicht helft ihr dem Professor ja etwas.

Dazu habe ich ein einfaches Beispiel mit ambitionierten Parametern konstruiert, welche die Größenordnung aufzeigen, in der wir uns maximal bewegen. Gekühlte Verstärker, spezielle Modulationsarten, etc. werden nicht eingesetzt, genauso wenig wie es Störquellen, galaktisches Rauschen, usw. zu berücksichtigen gibt.
Die Rechnungen sind eher simpel, das Rätsel ist gradlinig mit geringem fachlichem Tiefgang. Bei ein paar notwendigen Denkmustern die man zur Umsetzung braucht, könnte es jedoch haken und verrechnen kann man sich leicht. Der Schwierigkeitsgrad liegt zwischen D2 und D5, je nach Vorkenntnissen.
Anordnung aus einer Sende- und einer Empfangsanlage
Senderausgangsleistung 10 KW
Senderfrequenz 10 GHz, λ =3 cm
Modulation: Morsetelegraphie (CW)
RX/ TX Antenne je ein Parabolspiegel mit 70m Durchmesser
Temperatur 17°C
Rauschzahl des Empfängers: 2 dB
Empfangsbandbreite: 10Hz
Signal-/ Rauschverhältnis am Empfängerausgang: 0dB
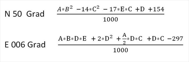
A. Wie hoch ist die Senderausgangsleistung in „dBm“. A=Wert in dBm
B. Als Antenne kommt jeweils eine Cassegrain Antenne (Parabolantenne) mit 70m Durchmesser zum Einsatz, wie sie die NASA auch auf ihrem Goldstone Deep Space Communication Complex verwendet. Flächenwirkungsgrad ist 100%. B=Gewinn der Antenne bezogen auf einen isotropen Kugelstrahler in dB (auf ganze dB abgerundet).
C. Äquivalentes Empfängereingangsrauschen bei den oben angegebenen Parametern. C=Wert in dBm (auf ganze dBm abgerundet, auf Vorzeichen achten!)
D. Reichweite der Übertragungsstrecke in Lichtjahren, wenn das Signal zu Rauschverhältnis am Empfängerausgang 0 dB beträgt. D= Wert in Lichtjahre (auf ganze Lj abgerundet).
E. Würden Außerirdische in entsprechender Entfernung heute Reden von Hindenburg im Radio hören können? Ja=2, Nein=3
Antworten zu Fragen wird Google dem Suchenden meist willig zur Verfügung stellen. Vor der Verwendung der Antworten, sollte man sich aber immer etwas denken.
Viel Erfolg wünscht Oma
