Skip to content

HPPP#1 Mystery Cache

Hidden : 2/18/2018
Difficulty:
4 out of 5
Terrain:
3 out of 5

Size: Size:   micro (micro)

Join now to view geocache location details. It's free!

Watch

How Geocaching Works

Please note Use of geocaching.com services is subject to the terms and conditions in our disclaimer.

Geocache Description:


Hafíkovic prochajda po Pí


Při tvorbě této série jsme brali zřetel na znalost prostředí, dostupnost a náročnost terénu.
Prostředí - lokalita kolem Ronova je natolik krásná a zajímavá, že k tomu prostě vybízí.
Dostupnost - nemajíce auta krásně dorazíte vlakem.
Náročnost - cestou necestou od Parkingu zpět asi 6,5km.
S ohledem na vzrůstající množství keší s obtížností T5, jsme chtěli oslovit i další kačery, kteří nemají možnost, prostředky či schopnosti je zdolat. A odsud jsou také krásné výhledy.

Proč matematika a Pí? Matematika je exaktní věda a provází nás ve větší či menší míře celý život.
Jasná zadání při základních vědomostech určují jasné řešení a výsledek.
A Pí fascinuje vědce od svého vzniku a je jednou z nejdůležitějších matematických konstant.



Zajímavosti o pí


  • Číslo pí je matematická konstanta vyjadřující poměr mezi obvodem a průměrem kružnice. Název pochází od počátečního písmene z řeckého slova periféreia (obvod). K zápisu používáme řecký znak π.
  • Číslo π je iracionální (nedá se vyjádřit jako zlomek), jeho desetinný rozvoj je nekonečný a neperiodický. .
  • V běžných výpočtech se používá jeho přibližná hodnota 3,14 nebo 22/7. Počítače dokážou vypočítat jeho hodnotu s přesností na 50 bilionů číslic. Kalkulačky počítají se zaokrouhlením na 9 – 10 desetinných míst. Pro veškeré praktické účely stačí znalost prvních 39 desetinných míst, protože každé další místo přidává chybu menší než je průměr atomu vodíku. .
  • Číslo π bývá také označováno jako Ludolfovo číslo podle nizozemského matematika Ludolpha van Ceulena, který v r. 1615 spočítal číslo s přesností na 35 desetinných míst. Bylo to v té době považováno za tak významnou událost, že mu bylo celé π vytesáno na náhrobek. .
  • Toto číslo bylo známo již v antice, např. Babyloňané používali asi v roce 2000 př. n. l. hodnotu 25/8 = 3,125. Egypťané v té době používali číslo, které se od π lišilo o pouhé 1 % - využívali ho při stavění pyramid. Číslo π je zmíněno i v Bibli.
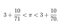
  • První skutečný pokus o pochopení podstaty π udělal Archimédes ze Syrakus (287 – 212 př. n. l). Uvědomil si, že hodnota může být ohraničená shora i zespoda vepsáním a opsáním pravidelných mnohoúhelníků do kružnice a vypočtením jejich obvodů. Použitím 96-úhelníků dokázal, že
    aproximace
    Číslo π obzvláště přesně aproximoval.
    ukázka
  • Číslo π má 14.3. i svůj vlastní svátek! V tento den probíhají soutěže v zapamatování si co nejvíce desetinných míst. Rekord z roku 2006 drží japonec Akira Haraguchi, který odrecitoval 100 tisíc číslic – trvalo mu to 16 hodin.
  • Na zapamatování číslic se používají mnemotechnické pomůcky – různé básničky,
    např. „ Sám u sebe v hlavě magického pí číslic deset mám.“
    3,14159 2653 5 89793 23846 26433 83279…
  • Shodou okolností se 14. 3. 1879 narodil Albert Einstein. Byl první, kdo v souvislosti s Ludolfovým číslem upozornil na zajímavý fakt, že skutečná délka řeky je přibližně π -krát větší než vzdušná vzdálenost od pramene k jejímu ústí.


Jak získat souřadnice k této keši?



Na začátek vám Hafina lehce zkomplikovala cestu k finálním souřadnicím #1. K těm dojdete, když důkladně prozkoumáte "celé" Pí.

A B C D
44444 777777 112233 22222
E F G H
1111 999999 223344 33333

Po dobré domácí přípravě už jen stačí doplnit:


N 50° 3A.BCD
E 14° 2E.FGH



Additional Hints (Decrypt)

qhgvan fgebzh f ghevfgvpxbh manpxbh 2 zrgel ilfbxb / A +0,013 / R +0,001

Decryption Key

A|B|C|D|E|F|G|H|I|J|K|L|M
-------------------------
N|O|P|Q|R|S|T|U|V|W|X|Y|Z

(letter above equals below, and vice versa)