Skip to content

Rzeszowskie miejsca wypoczynku #2 - Park Papieski Mystery Cache

Hidden : 4/18/2019
Difficulty:
2.5 out of 5
Terrain:
1.5 out of 5

Size: Size:   micro (micro)

Join now to view geocache location details. It's free!

Watch

How Geocaching Works

Please note Use of geocaching.com services is subject to the terms and conditions in our disclaimer.

Geocache Description:


Osoby podejmujące moje skrytki zapewne zauważyły dwie rzeczy – po pierwsze, nie ma ich zbyt wiele i po drugie, już jeden pojemnik mam dość niedaleko. Nad tym pierwszym wciąż pracuję i zapewniam, że w przyszłości będzie z tym lepiej. Jeśli chodzi o drugą kwestię – cóż, Fontanny Papieskie są na tyle charakterystycznym elementem Parku Papieskiego, iż prosiły się o odrębnego kesza. To tyle jeśli chodzi o moje usprawiedliwiania, przejdźmy więc do rzeczy.

Jak już się zapewne domyślacie, motywem przewodnim tej „geo-ścieżki” są miejsca przyjazne wypoczynkowi, spędzaniu wolnego czasu z dziećmi oraz różnorakiej rekreacji. Dlatego też kolejny kesz ukryty w tym miejscu opowie co nieco o tejże stronie Parku Papieskiego.


Co nam oferuje Park Papieski?


Dokładnie to, co powinno posiadać „miejsce wypoczynku” tj. ogrom ławek, dużo ścieżek do spacerowania, plac zabaw dla dzieci, siłownia polowa i, co chyba najważniejsze, tzw. fontanny wody pitnej oraz jeden Toi-Toi. Pewnym paradoksem jest jednak to, że „w godzinach szczytu” bardzo ciężko jest tutaj wypocząć. Ogrom ludzi wyprowadzających swoje psy oraz głośne dzieci nie pomagają w osiągnięciu nirwany. Wybawieniem od tego jest szum wspominanych wcześniej fontann, choć te nie są uruchomione cały rok, a jedynie w sezonie letnim.

Osoby przykładające ciut większą wagę do duchowej sfery niewątpliwie docenią obelisk postawiony w celu upamiętnienia odwiedzin Jana Pawła II, a także bliską obecność Katedry Najświętszego Serca Pana Jezusa.


Co warte odnotowania, jest to jedno z niewielu miejsc w Rzeszowie, które posiada muszlę koncertową. Raz na jakiś czas wykorzystywana jest przez zespoły muzyczne podczas różnorakich festynów parafialnych i nie tylko. Nocnymi porami nietrudno natrafić tam na młodzież, która skuszona jest możliwością ukrycia się przed wścibskimi spojrzeniami stróżów prawa – wiadomo dlaczego.

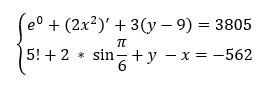
Koniec lania wody, czas na zagadkę


Współrzędne finałowe to N 50° 0.X' E 22° 1.Y'



Wystarczy rozwiązać to proste równanie, którego ja bym nie potrafił (dziewczyna wymyśliła), ale Wy na pewno będziecie w stanie 😊

 

Additional Hints (Decrypt)

Qmvrjvngn bq qemrj

Decryption Key

A|B|C|D|E|F|G|H|I|J|K|L|M
-------------------------
N|O|P|Q|R|S|T|U|V|W|X|Y|Z

(letter above equals below, and vice versa)