I believe that this nation should commit itself to achieving the goal, before this decade is out, of landing a man on the Moon and returning him safely to Earth.

Mit diesem zentralen Satz seiner Rede vor den Kongress am 25. Mai 1961 läutete US-Präsident John F. Kennedy die letzte und größte Etappe des Space Race - des Wettlaufs ins All - der 60er Jahre ein. Nachdem die Sowjetunion mit Sputnik den ersten Satelliten ins All beförderte und der Kosmonaut Juri Gagarin als erster Mensch den Erdorbit erreichte, sollte es ein Amerikaner sein, der seinen Fuß als erstes auf den Mond setzt.
Erste Erfahrungen wurden im Rahmen des Mercury-Programms gemacht. Für diese Zwecke musste die Atlas- und Redstone-Rakete, die bisher nur militärisch verwendet wurde, für bemannte Raumflüge angepasst werden. Am 5. Mai 1961, kurz vor Kennedys Rede also, gelangte Alan Shepard als erster Amerikaner in den Weltraum. Das mit Titan-Raketen durchgeführte Gemini-Programm war der Nachfolger der Mercury-Missionen und wurde für die Erprobung wichtiger Techniken für spätere Mondflüge, wie das Docken und Verlassen von Raumkapseln im All, benötigt. Im Gegensatz zum Mercury-Programm waren die Astronauten auf Gemini-Flügen nicht allein sonder zu zweit. Unter ihnen befanden sich auch viele der späteren Apollo-Astronauten, wie Walter Schirra (Gemini 6 und Apollo 7), Buzz Aldrin (Gemini 12 und Apollo 11) oder Jim Lovell (Gemini 7 und 12 sowie Apollo 8 und 13).

Ein Test des ersten bemannten Starts einer Apollo-Kapsel (nachträglich als Apollo 1 bezeichnet), welche sich an der Spitze der neuen Saturn-Raketen befand, entwickelte sich zu einem tragischen Unglück, als ausgelöst durch eine elektrische Fehlfunktion, ein Feuer an Bord alle drei Astronauten Ed White, Gus Grissom und Roger Chaffee tötete. Eine Fehlkonstruktion der Luke verhinderte eine rechtzeitige Rettung durch die Bodencrew. Da durch Apollo 1 klar wurde, dass weitere Tests nötig seien, bevor erneut Menschen an Bord einer Apollo-Kapsel fliegen konnten, verzögerte sich der straffe Zeitplan, sodass es fraglich wurde, ob ein bemannter Flug zum Mond vor 1970 noch möglich wäre. Die Mondrakete Saturn V und das Apollo-Kommandomodul hatten ihren Erstflug mit Apollo 4 am 9. November 1967. Apollo 5 testete die Mondlandefähre bevor mit Apollo 7 erstmals eine bemannte Apollo-Kapsel die Erdumlaufbahn erreichte. Es folgte die erste Mondumrundung um Weihnachten 1968 (Apollo 8) sowie finale Tests der Landefähre mit Apollo 9 und 10.
Für die Mission Apollo 11, welche als erstes Menschen auf die Oberfläche des Mondes bringen sollte, wurden Neil Armstrong als Kommandant, Edwin "Buzz" Aldrin als Pilot der Mondlandefähre Eagle und Michael Collins als Pilot des Kommandomoduls Columbia ausgewählt und im Januar 1969 der Öffentlichkeit vorgestellt - nur elf Monate vor Ende des Jahrzehnts!

Am 16. Juli 1969 startete die Saturn-V-Rakete von Cape Canaveral, umkreiste eineinhalb mal die Erde bis sie Kurs auf den Mond nahm. Die Columbia wurde mit der Eagle gekoppelt und so ging es ohne Probleme für etwas mehr als drei Tage Richtung Erdtrabanten. Nach Erreichen des Mondorbits trennten sich Kommando- und Landemodul. Collins würde am Orbit bleiben, während Armstrong und Aldrin zum Mond herabfliegen. Um beim Landeanflug Unebenheiten des Bodens möglichs gut zu sehen, wurde ein flacher Landeplatz nahe des Mondäquators gewählt, wo die Sonne erst einen Tag zuvor aufgegangen sein würde - das Mare Tranquillitatis, zu deutsch Meer der Ruhe. Trotz eines kritischen Moments knapp über der Mondoberfläche, setzte die Mondlandefähre am Abend (UTC) des 20. Juli 1969 auf dem Mond auf.
Houston, Tranquility Base here. The Eagle has landed!
Es vergingen noch ein paar Stunden, bevor der spontan vorverlegte Ausstieg beginnen konnte. Weltweit schauten etwa 600 Millionen Menschen zu, als Neil Armstrong am 21. Juli 1969 (UTC) die Leiter der Landefähre herab stieg und mit den ikonischen Worten
That’s one small step for a man, one giant leap for mankind!
als erster Mensch den Mond betrat.

Buzz Aldrin folgte ihm ein paar Minuten später und gemeinsam hissten sie die amerikanische Flagge, installierten Forschungsgeräte und sammelten kiloweise Gestein. Nach zweieinhalb Stunden Extra Vehicular Activity und der ersten Übernachtung auf dem Mond kehrten die beiden in den Mondorbit zurück und koppelten an Collins' Kommandomodul an. Am 24. Juli wasserte die Apollo-Kapsel im Pazifik und die Astronauten kamen an Bord eines Flugzeugträgers und in Quarantäne zurück ans Festland.
Nun gilt es, ein paar Infos rund um die erste Mondlandung in Erfahrung zu bringen:
- Welche Masse hatte der Raumanzug der Astronauten inkl. Lebenserhaltungssytem in Kilogramm? (A)
- Wie hoch war der Rettungsturm der Saturn V auf Meter gerundet? (B)
- Während des Landeanflugs auf den Mond traten zwei Fehlermeldungen des Bordcomputers auf, die beinahe zu einem Abbruch geführt hätten. Wie lautet die Quersumme beider Alarm-Nummern zusammen? (C)
- Findet die Koordinaten der Mondlandefähre auf der Mondoberfläche (im DD.DDD° Format auf drei Nachkommastellen)! (D)
- Hunderte Millionen Menschen sahen die ersten Schritte Neil Armstrongs auf dem Mond im Fernsehen. In welchem Bildformat (X:Y) wurde diese Szene aufgenommen? (E=X+Y)
- Auf dem Mond wurde unter anderem ein Instrument aufgestellt, mit welchem der Abstand Erde-Mond zentimetergenau ermittelt werden kann. Wie lange braucht ein Signal vom Sender zum Empfänger aufgerundet in Sekunden? (F)
- Wie groß ist die Fluchtgeschwindigkeit am Äquator des Mondes aufgerundet in Meter pro Sekunde? Davon bitte die Quersumme! (G)
- Wie lange dauerte die gesamte Mission vom Start in Florida bis zur Wasserung im Pazifik in Sekunden? Davon bitte die Quersumme! (H)
- Wie lautet der Name (*** ******) des Flugzeugträgers, welcher die Kapsel aus dem Meer barg? Davon bitte den BWW! (I)
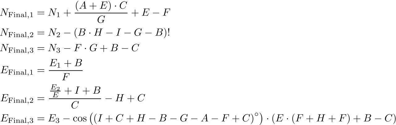
Rechnet zu allererst Antwort D in das Format DD° MM.MMM' um. Die 2x3 Blöcke werden nun als N1, N2, N3 bzw. E1, E2, E3 bezeichnet (als Beispiel: N 49° 34.149' E 11° 9.045' würde bedeuten N1=49, N2=34, N3=149, E1=11, E2=9 und E3=45). Jetzt könnte ihr die Finalkoordinaten berechnen:

Es gibt mehrere Wege, die zum Cache führen. Je nachdem welchen ihr wählt, solltet ihr im Sommer auf Zecken oder nach Regen auf matschige Wege achten. Begebt euch auf keinen Fall nachts zum Cache, hier wird gejagt!
Bitte geht etwas vorsichtiger mit dem Behälter um! Wir haben zwar unser Bestes getan, dass der "Look" lange erhalten bleibt, aber zu starke Bearbeitung wird vermutlich ihre Spuren zeigen. Falls irgendwas locker sein sollte, versucht die Dose wieder möglichst unauffällig zu platzieren und gebt uns Bescheid, damit wir einen Blick drauf werden können.
Für die Banner-Freunde hier der Code:
<a title="The Eagle has landed... 50 years ago - GC8A5NP" href="https://coord.info/GC8A5NP"><img src="https://s3.amazonaws.com/gs-geo-images/853b1d65-b462-49bc-a28e-050360d6677c.png"/></a>

Für den ersten und zweiten Platz gibt es diesmal sogar ein spezielles Banner:
 |
 |
| <a title="FTF The Eagle has landed... 50 years ago - GC8A5NP" href="https://coord.info/GC8A5NP"><img src="https://s3.amazonaws.com/gs-geo-images/e3596b0d-26d9-4331-8442-4f1eca93d489.png"/></a> |
<a title="STF The Eagle has landed... 50 years ago - GC8A5NP" href="https://coord.info/GC8A5NP"><img src="https://s3.amazonaws.com/gs-geo-images/6a4a358f-0adb-49a0-a58f-8f39f90f58e8_l.png"/></a> |