Sonneninsel
- so wird die Insel Usedom genannt. Dies liegt daran, dass es die sonnigste Region Polens und Deutschlands ist.
Im Durchschnitt können wir mit etwa 2000 Stunden mit der Sonne pro Jahr rechnen.
Extrem abwechslungsreiche Küste mit breiten Stränden mit feinem, hellem Sand, Promenaden, Piers, zahlreiche Hügel, Klippen,
Wälder, charmante und ruhige Dörfer, Landschaftsparks, zahlreiche Touristenattraktionen machen, dass diese kleine Insel,
auf der 70 Tausend Menschen leben, jährlich von etwa 7-8 Millionen Touristen besucht wird.
Die Insel Usedom ist nicht nur das Meer und die Strände.
Um sich in diesen Cache einzuloggen, Sie müssen 24 Objekte finden, die in den Bildern unten gezeigt werden.
Unten sind die Koordinaten, die den Standort eines der in den angehängten Bildern gezeigten Objekte angeben, oder die Stelle,
von der aus das Objekt sichtbar ist. Schauen Sie sich daher fleißig um.
Fügen Sie die Nummer des übereinstimmenden Bildes zu dem Buchstaben hinzu, der am Ende der Koordinate angegeben ist.
Beispiel:
wenn bei den Koordinaten "N 50 44.000 E 015 44.000 X="
Sie finden das Objekt aus dem Bild mit der Zahl 7, es ist X=7
Bemerkung:
- in einigen Bildern wurde der Hintergrund geändert
- der Farbton auf dem Bild kann ein wenig von der Realität abweichen
- an einigen Stellen sind Die Koordinaten instabil - berücksichtigen Sie dies
Viele von Ihnen werden anfangen, im Internet zu suchen und dort sicherlich viele Antworten finden. Aber ist es nicht besser,
eine Wanderung zu machen? - Bewegung und frische Luft ist Gesundheit. Und Zufriedenheit; ich war, ich sah. Und was Sie während
der Reise sehen werden, wird Ihnen noch lange in Erinnerung bleiben.
Viel Spaß.
- N 53 53.826 E 014 03.701 A =
- N 54 03.806 E 013 50.259 B =
- N 53 56.365 E 014 11.418 C =
- N 54 08.390 E 013 46.280 D =
- N 53 56.372 E 014 11.437 E =
- N 54 01.426 E 013 54.330 F =
- N 53 55.321 E 014 00.787 G =
- N 53 57.990 E 014 07.541 H =
- N 53 53.120 E 014 12.474 I =
- N 53 55.558 E 013 57.878 J =
- N 54 03.630 E 013 54.190 K =
- N 53 52.841 E 014 10.470 L =
- N 53 51.180 E 013 57.448 M =
- N 53 55.375 E 014 09.710 N =
- N 53 52.182 E 013 59.574 O =
- N 54 06.314 E 013 50.742 P =
- N 53 52.466 E 014 11.611 Q =
- N 54 02.857 E 013 59.915 R =
- N 54 02.859 E 013 50.823 S =
- N 53 53.979 E 014 14.333 T =
- N 53 53.236 E 014 08.218 U =
- N 53 50.616 E 013 52.270 V =
- N 53 53.398 E 014 08.390 W =
- N 53 57.906 E 013 56.251 X =
RÄTSEL / ZAGADKA :
ÄÜ = Y ËÖ = Z
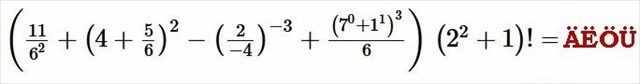
{DE} Sie können die Lösung der Gleichung mit dem Checker unten überprüfen.
{PL} Rozwiązanie równania możesz sprawdzić za pomocą poniższego checkera.

(DE) Klicken Sie auf das Bild, um eine Vergrößerung zu sehen.
(PL) Kliknij na obrazek, to zobaczysz powiększenie.
A + B - W - X = X1 C + D - H - I = X2
E + F - N - O = X3 G + M - J - V = X4
K + F - Q - S = X5 L + T - U - N = X6
W + J - E - G = X7 O + P - X - N = X8
X1 + X6 - X7 - Y = NI X2 + X5 - Y - X4 = KSI X5 + X4 - X6 - X7 = OMIKRON
X3 + X1 - X2 - X6 = PI X5 + X2 - X3 - X4 = RO Z + X3 - X8 - X7 = SIGMA
FINAL:
N 53 55.(NI)(KSI)(OMIKRON) E 014 11.(PI)(RO)(SIGMA)
(DE) Notieren Sie den Wert "SIGMA" - er wird für den Bonus-Cache benötigt.
(PL) Zapisz wartość "SIGMA" - będzie potrzebna do cache bonusowego.

Słoneczna Wyspa
- tak nazywana jest wyspa Uznam. A to dlatego, że jest najbardziej nasłonecznionym rejonem Polski i Niemiec.
Średnio w roku możemy tu liczyć na około 2000 godzin ze słońcem.
Niezwykle urozmaicona linia brzegowa z szerokimi plażami z drobnym, jasnym piaskiem, promenady, mola, liczne wzgórza,
klify, lasy, urokliwe i ciche wioski, parki krajobrazowe, liczne atrakcje turystyczne sprawiają, że tą niewielką wyspę
zamieszkałą przez 70 tysięcy osób, rocznie odwiedza około 7-8 milionów turystów.
Wyspa Uznam to nie tylko morze i plaże.
Aby zalogować tego kesza należy odnaleźć 24 obiekty pokazane na obrazkach.
Powyżej podane są współrzędne. Wskazują one miejsce jednego z obiektów pokazanych na załączonych zdjęciach lub też miejsce,
z którego obiekt jest widoczny. Dlatego pilnie się wokół rozglądaj.
Numer pasującego zdjęcia dopisz do litery, która jest podana na końcu współrzędnej.
Przykład:
jeżeli na współrzędnych "N 50 44.000 E 015 44.000 X="
znajdziesz obiekt ze zdjęcia z numerem 7, to X=7
Uwaga:
- na niektórych obrazkach zmienione zostało tło
- odcień koloru na obrazku może się trochę różnić od rzeczywistego
- w niektórych miejscach współrzędne są niestabilne - weź to pod uwagę
Część z Was na pewno zacznie poszukiwania w internecie i zapewne sporo odpowiedzi tam znajdzie. Ale czy nie
lepiej ruszyć w teren ? - ruch i świeże powietrze to zdrowie. No i satysfakcja; byłem, zobaczyłem.
A to, co w trasie zobaczycie, na długo pozostanie w Waszej pamięci.
Miłej zabawy.